
تاريخ الفيزياء

علماء الفيزياء


الفيزياء الكلاسيكية

الميكانيك

الديناميكا الحرارية


الكهربائية والمغناطيسية

الكهربائية

المغناطيسية

الكهرومغناطيسية


علم البصريات

تاريخ علم البصريات

الضوء

مواضيع عامة في علم البصريات

الصوت


الفيزياء الحديثة


النظرية النسبية

النظرية النسبية الخاصة

النظرية النسبية العامة

مواضيع عامة في النظرية النسبية

ميكانيكا الكم

الفيزياء الذرية

الفيزياء الجزيئية


الفيزياء النووية

مواضيع عامة في الفيزياء النووية

النشاط الاشعاعي


فيزياء الحالة الصلبة

الموصلات

أشباه الموصلات

العوازل

مواضيع عامة في الفيزياء الصلبة

فيزياء الجوامد


الليزر

أنواع الليزر

بعض تطبيقات الليزر

مواضيع عامة في الليزر


علم الفلك

تاريخ وعلماء علم الفلك

الثقوب السوداء


المجموعة الشمسية

الشمس

كوكب عطارد

كوكب الزهرة

كوكب الأرض

كوكب المريخ

كوكب المشتري

كوكب زحل

كوكب أورانوس

كوكب نبتون

كوكب بلوتو

القمر

كواكب ومواضيع اخرى

مواضيع عامة في علم الفلك

النجوم

البلازما

الألكترونيات

خواص المادة


الطاقة البديلة

الطاقة الشمسية

مواضيع عامة في الطاقة البديلة

المد والجزر

فيزياء الجسيمات


الفيزياء والعلوم الأخرى

الفيزياء الكيميائية

الفيزياء الرياضية

الفيزياء الحيوية

الفيزياء والفلسفة

الفيزياء العامة


مواضيع عامة في الفيزياء

تجارب فيزيائية

مصطلحات وتعاريف فيزيائية

وحدات القياس الفيزيائية

طرائف الفيزياء

مواضيع اخرى
نظرية الشغل والطاقة لصافي القوة
المؤلف:
فريدريك بوش ، دافيد جيرد
المصدر:
اساسيات الفيزياء
الجزء والصفحة:
الفصل 5
8-2-2016
21012
نظرية الشغل والطاقة لصافي القوة
سنأخذ حالة عمومية كالموقف المبين بالشكل 1)) الذي يمثل عربة كتلتها m تتحرك في الاتجاه الموجب للمحور x تحت تأثير قوانين. لنرمز إلى القوة المحصلة المؤثرة على العربة بالرمز Fnet وحيث أن الحركة في اتجاه المحور x فإن العلاقة Fnet= ma تصبح :
Fnet= max

الشكل 1))
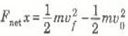
للتعويض عن ax بدلالة السرعتين الابتدائية والنهائية للجسم والمسافة المقطوعة x لنحصل على:

ولكنFnet x ببساطة هي الشغل المبذول على العربة بواسطة القوة المحصلة المؤثرة عليها إذن ، يمكن تلخيص نتيجتنا في الشكل الآتي:
التغير في KE للجسم – الشغل المبذول على العربة بواسطة Fnet
(1)
= الشغل المبذول بواسطة Fnet
هذه العلاقة تسمى نظرية الشغل والطاقة لصافي القوة. وعند تطبيق هذه النظرية علينا أن نعي تماماً أنه إذا كان صافي القوة في اتجاه الحركة فإنه يؤدي إلى تسارع الجسم وبالتالي إلى زيادة طاقة حركته. أما القوى المعوقة ، كالاحتكاك مثلاً ، فإنها تبذل شغلاً سالباً على الجسم. السبب المباشر لذلك هو أن اتجاه القوة المعوقة يكون مضاداً لاتجاه الإزاحة ، وعليه فإن الكمية Fx x cos θ تصبحFx x cos 180o ، أي Fx x- وهكذا يمكن القول أن صافي القوة المعوقة يؤدي إلى نقص طاقة الحركة:
صافي القوة في اتجاه الحركة يسبب زيادة طاقة حركة الجسم ، بينما يسبب صافي قوة الإيقاف نفس طاقة الحركة.
وتعتبر نظرية الشغل نظرية في غاية الأهمية.
الاكثر قراءة في الميكانيك
اخر الاخبار
اخبار العتبة العباسية المقدسة
الآخبار الصحية

قسم الشؤون الفكرية يصدر كتاباً يوثق تاريخ السدانة في العتبة العباسية المقدسة
"المهمة".. إصدار قصصي يوثّق القصص الفائزة في مسابقة فتوى الدفاع المقدسة للقصة القصيرة
(نوافذ).. إصدار أدبي يوثق القصص الفائزة في مسابقة الإمام العسكري (عليه السلام)