
تاريخ الفيزياء

علماء الفيزياء


الفيزياء الكلاسيكية

الميكانيك

الديناميكا الحرارية


الكهربائية والمغناطيسية

الكهربائية

المغناطيسية

الكهرومغناطيسية


علم البصريات

تاريخ علم البصريات

الضوء

مواضيع عامة في علم البصريات

الصوت


الفيزياء الحديثة


النظرية النسبية

النظرية النسبية الخاصة

النظرية النسبية العامة

مواضيع عامة في النظرية النسبية

ميكانيكا الكم

الفيزياء الذرية

الفيزياء الجزيئية


الفيزياء النووية

مواضيع عامة في الفيزياء النووية

النشاط الاشعاعي


فيزياء الحالة الصلبة

الموصلات

أشباه الموصلات

العوازل

مواضيع عامة في الفيزياء الصلبة

فيزياء الجوامد


الليزر

أنواع الليزر

بعض تطبيقات الليزر

مواضيع عامة في الليزر


علم الفلك

تاريخ وعلماء علم الفلك

الثقوب السوداء


المجموعة الشمسية

الشمس

كوكب عطارد

كوكب الزهرة

كوكب الأرض

كوكب المريخ

كوكب المشتري

كوكب زحل

كوكب أورانوس

كوكب نبتون

كوكب بلوتو

القمر

كواكب ومواضيع اخرى

مواضيع عامة في علم الفلك

النجوم

البلازما

الألكترونيات

خواص المادة


الطاقة البديلة

الطاقة الشمسية

مواضيع عامة في الطاقة البديلة

المد والجزر

فيزياء الجسيمات


الفيزياء والعلوم الأخرى

الفيزياء الكيميائية

الفيزياء الرياضية

الفيزياء الحيوية

الفيزياء والفلسفة

الفيزياء العامة


مواضيع عامة في الفيزياء

تجارب فيزيائية

مصطلحات وتعاريف فيزيائية

وحدات القياس الفيزيائية

طرائف الفيزياء

مواضيع اخرى
معادلتان مشتقتان للحركة ذات العجلة المنتظمة
المؤلف:
فريدريك بوش ، دافيد جيرد
المصدر:
اساسيات الفيزياء
الجزء والصفحة:
الفصل 2
27-1-2016
3448
معادلتان مشتقتان للحركة ذات العجلة المنتظمة
لاستنتاج المعادلتين الجديدتين تحل المعادلات المعلومة آنياً. وما علينا ببساطة إلا أن نضيفهما إلى قائمة المعادلات الاتية واستخدامها في حل المسائل المستقبلية.
(i)
(ii)
(iii)
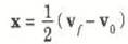
وبالتعويض عن قيمة v من المعادلة(i) في (ii) نحصل على :
(1) 
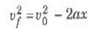
وبالتعويض عن قيمة t من المعادلة (iii) نجد أن :

تواجهنا هنا حالة ضرب متجهين , ولكن يمكن حل هذه المشكلة بسهولة في حالة الحركة في بعد واحد. فكل متجه يمكن فقط أن يكون موجب القيمة أو سالب القيمة. كذلك فإن حاصل ضرب متجه في نفسه يساوي مربع مقداره:
. علاوة على ذلك فإن حاصل ضرب a في x في بعد واحد يساوي +ax أو -ax ، ويتوقف ذلك على ما إذا كانت إشارتي a وx متماثلتين أو مختلفتين. وعليه يمكن كتابة المعادلة السابقة بدلالة مقادير المتجهات في الصورة:
(2 أ) 
عندما يكون المتجهات a و x مماثلي الاشارة، او
2) ب) 
عندما يكون المتجهات a و x مختلفي الإشارة.
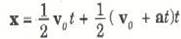
أما المعادلة الثانية فيمكن اشتقاقها باستخدام المعادلة (1) بطريقة اخرى.
فبالتعويض عن vf المعادلة (iii) في المعادلة (1) نحصل على:

التي يمكن تبسيطها إلى الصورة :
(3) 
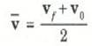
لدينا الآن خمس معادلات تستخدم في حل مسائل الحركة ذات العجلة المنتظمة هي :
( 4أ) 
( 4ب) 
(4 جـ) 
( 4د) 
( 4هـ) 
الاكثر قراءة في الميكانيك
اخر الاخبار
اخبار العتبة العباسية المقدسة
الآخبار الصحية

قسم الشؤون الفكرية يصدر كتاباً يوثق تاريخ السدانة في العتبة العباسية المقدسة
"المهمة".. إصدار قصصي يوثّق القصص الفائزة في مسابقة فتوى الدفاع المقدسة للقصة القصيرة
(نوافذ).. إصدار أدبي يوثق القصص الفائزة في مسابقة الإمام العسكري (عليه السلام)