
تاريخ الفيزياء

علماء الفيزياء


الفيزياء الكلاسيكية

الميكانيك

الديناميكا الحرارية


الكهربائية والمغناطيسية

الكهربائية

المغناطيسية

الكهرومغناطيسية


علم البصريات

تاريخ علم البصريات

الضوء

مواضيع عامة في علم البصريات

الصوت


الفيزياء الحديثة


النظرية النسبية

النظرية النسبية الخاصة

النظرية النسبية العامة

مواضيع عامة في النظرية النسبية

ميكانيكا الكم

الفيزياء الذرية

الفيزياء الجزيئية


الفيزياء النووية

مواضيع عامة في الفيزياء النووية

النشاط الاشعاعي


فيزياء الحالة الصلبة

الموصلات

أشباه الموصلات

العوازل

مواضيع عامة في الفيزياء الصلبة

فيزياء الجوامد


الليزر

أنواع الليزر

بعض تطبيقات الليزر

مواضيع عامة في الليزر


علم الفلك

تاريخ وعلماء علم الفلك

الثقوب السوداء


المجموعة الشمسية

الشمس

كوكب عطارد

كوكب الزهرة

كوكب الأرض

كوكب المريخ

كوكب المشتري

كوكب زحل

كوكب أورانوس

كوكب نبتون

كوكب بلوتو

القمر

كواكب ومواضيع اخرى

مواضيع عامة في علم الفلك

النجوم

البلازما

الألكترونيات

خواص المادة


الطاقة البديلة

الطاقة الشمسية

مواضيع عامة في الطاقة البديلة

المد والجزر

فيزياء الجسيمات


الفيزياء والعلوم الأخرى

الفيزياء الكيميائية

الفيزياء الرياضية

الفيزياء الحيوية

الفيزياء والفلسفة

الفيزياء العامة


مواضيع عامة في الفيزياء

تجارب فيزيائية

مصطلحات وتعاريف فيزيائية

وحدات القياس الفيزيائية

طرائف الفيزياء

مواضيع اخرى
Ernest Rutherford
المؤلف:
William H. Cropper
المصدر:
Great Physicists
الجزء والصفحة:
15-10-2015
2632
Ernest Rutherford

X Rays from Atoms
Harry Moseley went to Manchester after an unimpressive student career at Eton and Oxford. His lack of promise, as judged by academic standards, is reminiscent of that other unsuccessful student, Albert Einstein. (Moseley remarked that at the time of his graduation from Oxford his mind was so “full of cobwebs” he could not think creatively about research.) To Rutherford’s discerning eye, however, there was clearly a spark, and he hired Moseley as a demonstrator. Moseley's first project was to count the β particles emitted by radium B and radium C. This work earned him a research fellowship, and he decided to use it to explore the emerging paradox of the wave-particle behavior of x rays. He formed a partnership with Charles Darwin, the resident theorist at Manchester and a grandson of the author of On the Origin of Species; together they proposed an x-ray study to Rutherford. The master was dubious because no one at Manchester had experience in the complexities of x-ray research. Moseley solved that problem by going to Leeds and taking lessons from William Bragg, the leading x-ray authority in England.
That satisfied Rutherford, and Moseley and Darwin embarked on a study of x rays as waves. They found x-ray frequencies distributed continuously over a broad range, but missed the discovery of sharp peaks superimposed on the continuous spectrum. The Bragg father-and-son team, William and Lawrence, found these peaks, and Moseley and Darwin followed their lead with a detailed study, making clear that what they were observing was the same thing as a homogeneous x-ray component reported earlier by the Scottish physicist Charles Barkla.
Barkla's radiation was known to be characteristic of the material used as the source of the x rays. Moseley decided to make a systematic investigation of the characteristic x rays generated by a series of elements. His aim at first was to correlate the particular characteristic x rays Barkla labeled “K” with the “atomic number” of the element, the number that designates its position in the periodic table (1 for hydrogen, 2 for helium, 3 for lithium, and so forth).
Working by himself now, Moseley plunged into this project with almost manic intensity. “He was without exception the hardest worker I have ever known,” Darwin writes in a reminiscence. Moseley often worked through the night and learned how to find a meal in Manchester at three in the morning. Mental exhaustion was no distraction. “When I told him he ought to be at home in bed,” Darwin recalls, “he would answer that when he was feeling well he wanted to be out walking in the country, and that it was only in this condition when he was tired out that he felt inclined for laboratory work.” He could never resist making improvements, large or small, in his x-ray equipment: “He was always ready to take the whole apparatus to pieces and set it up again if he could see any possible improvement to be hoped for.”
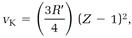
Moseley's initial discovery was an astonishingly simple and precise equation that connected the atomic number Z of the elements calcium through zinc (Z = 20 through 30) with the frequency vK of the K characteristic x rays,
(1)
or
(2)
with R' identical to the constant in Balmer's equation for the frequencies v in the hydrogen optical spectrum,
(3)
in which n1 and n2 are integers. Encouraged by this success, Moseley proposed a second empirical equation for the characteristic x rays Barkla had labeled L,
(4)
and applied it to many of the elements between zirconium (Z = 40) and gold (Z = 79).
At about the same time as Moseley was pursuing this research, Bohr was also working in the Manchester laboratory and closing in on his impressive theoretical explanation of Balmer's formula (3). For Moseley and Bohr, the obvious resemblances between Moseley's two equations (2) and (4), on the one hand, and the Balmer formula on the other, promised further theoretical developments. They hoped that a theory of atoms containing many electrons would arise from Moseley's equations as Bohr's theory of the hydrogen atom, with its single electron, had grown from Balmer's equation. They never realized that expectation, but two assumptions they introduced in their theoretical efforts that the atomic number Z for an element counts the number of electrons in each of the element's atoms, and that it also measures in electronic units the balancing positive charge on the nucleus have lasted and become permanent fixtures in atomic theory.
Moseley observed characteristic x-ray spectra from thirty-nine of the sixty seven elements between aluminum and gold, and used his equations to determine atomic numbers. Besides verifying the necessity for listing some elements out of order in the atomic weight sequence (e.g., argon and potassium), Moseley's unambiguous evaluation of atomic numbers also showed gaps where there was a number, but no known element that matched it. Four missing elements were indicated, for atomic numbers 43, 61, 72, and 75, and they were eventually found, the last one thirty-four years later. Each element was put “into its right pigeonhole,” as Moseley remarked, even those that had never been seen. The French chemist Georges Urbain, who supplied Moseley with rare-earth samples, wrote to Rutherford of his amazement with Moseley and what he could do: “I was most surprised to find a very young man capable of doing such remarkable work. . . . Moseley's law, for the end as well as for the beginning of the rare earths, has established in a few days the conclusions of my efforts of twenty years of patient work.”
Moseley's x-ray work, a distinguished effort if it had required a lifetime, was completed in less than a year. (This included time for a move from Manchester to Oxford and a complete rebuilding of the apparatus with the dubious services of a technician who was a “thorn in the flesh.”) Rutherford said that Moseley was “the best of the young people I ever had.” He might have been Rutherford's equal.
When England entered the war with Germany in 1914, Moseley quickly volunteered his services. He was commissioned in the Royal Engineers and became a signals officer. In June 1915, his brigade was sent to the Dardanelles. Two months later, a confused action took place in which Moseley's brigade was led, deliberately or mistakenly, by two guides who later disappeared, to a position in front of the British lines. The men slept during the night and awoke to recognize their mistake in the daylight, but by that time the Turks had started an attack. Sometime during the morning Moseley was shot through the head and died instantly.
الاكثر قراءة في علماء الفيزياء
اخر الاخبار
اخبار العتبة العباسية المقدسة
الآخبار الصحية

قسم الشؤون الفكرية يصدر كتاباً يوثق تاريخ السدانة في العتبة العباسية المقدسة
"المهمة".. إصدار قصصي يوثّق القصص الفائزة في مسابقة فتوى الدفاع المقدسة للقصة القصيرة
(نوافذ).. إصدار أدبي يوثق القصص الفائزة في مسابقة الإمام العسكري (عليه السلام)