
تاريخ الفيزياء

علماء الفيزياء


الفيزياء الكلاسيكية

الميكانيك

الديناميكا الحرارية


الكهربائية والمغناطيسية

الكهربائية

المغناطيسية

الكهرومغناطيسية


علم البصريات

تاريخ علم البصريات

الضوء

مواضيع عامة في علم البصريات

الصوت


الفيزياء الحديثة


النظرية النسبية

النظرية النسبية الخاصة

النظرية النسبية العامة

مواضيع عامة في النظرية النسبية

ميكانيكا الكم

الفيزياء الذرية

الفيزياء الجزيئية


الفيزياء النووية

مواضيع عامة في الفيزياء النووية

النشاط الاشعاعي


فيزياء الحالة الصلبة

الموصلات

أشباه الموصلات

العوازل

مواضيع عامة في الفيزياء الصلبة

فيزياء الجوامد


الليزر

أنواع الليزر

بعض تطبيقات الليزر

مواضيع عامة في الليزر


علم الفلك

تاريخ وعلماء علم الفلك

الثقوب السوداء


المجموعة الشمسية

الشمس

كوكب عطارد

كوكب الزهرة

كوكب الأرض

كوكب المريخ

كوكب المشتري

كوكب زحل

كوكب أورانوس

كوكب نبتون

كوكب بلوتو

القمر

كواكب ومواضيع اخرى

مواضيع عامة في علم الفلك

النجوم

البلازما

الألكترونيات

خواص المادة


الطاقة البديلة

الطاقة الشمسية

مواضيع عامة في الطاقة البديلة

المد والجزر

فيزياء الجسيمات


الفيزياء والعلوم الأخرى

الفيزياء الكيميائية

الفيزياء الرياضية

الفيزياء الحيوية

الفيزياء والفلسفة

الفيزياء العامة


مواضيع عامة في الفيزياء

تجارب فيزيائية

مصطلحات وتعاريف فيزيائية

وحدات القياس الفيزيائية

طرائف الفيزياء

مواضيع اخرى
السيكلوترون
المؤلف:
فريدريك بوش ، دافيد جيرد
المصدر:
اساسيات الفيزياء
الجزء والصفحة:
الفصل 19
24-1-2016
8360
السيكلوترون
إن كثيراً مما نعرفه عن تركيب النواة الذرية قد تحقق عن طريق قذف هذه النوى بأيونات او إلكترونات أو بروتونات ذات طاقات عالية جداً. وعندما "نشق" نواة بمثل هذه القذائف فإننا نحصل بذلك على بعض تفاصيل تركيبها الداخلي. ويعتبر السيكلوترون واحداً من الأجهزة المبكرة المستخدمة للحصول على طاقات عالية للغاية للجسيمات ، وذلك باستخدام مجالات مغناطيسية للتحكم في مساراتها. وقد تم صنع هذا الجهاز على يدي إ. أ. لورانس في جامعة كاليفورنيا ، بيركلي عام 1930 وقد بلغ من أهمية السيكلوترون كأداة فعالة في البحوث ، أن منح لورانس جائزة نوبل في الفيزياء عام 1930.

الشكل (1)
ويوضح الشكل ((1 العناصر الأساسية للسيكلوترون ، وكما هو الحال في مطياف الكتلة فإن هناك مجالاً مغناطيسياً متعامداً مع المنطقة التي تتحرك فيها الجسيمات المشحونة. وتتحرك الجسيمات في مسارات دائرية في غرفة مفرغة داخل قطبين على شكل D (لذا يسميان باسمه) وتفصلهما فجوة صغيرة. وفي تجربة نموذجية ، تنطلق البروتونات من المصدر s بالقرب من مركز الفجوة الواقعة بين القطبين. ومثلما يحدث في مطياف الكتلة ، فإن فرقاً للجهد بين القطبين يقوم بتعجيل البروتونات نحو أحد القطبين. وبمجرد دخول البروتون إلى داخل القطب "دي" فإنه "يبحر" في دائرة ويخرج من القطب في نفس اللحظة تماماً التي ينعكس فيها الجهد فيتعرض البروتون للتعجيل ( التسارع) من جديد ، فيدخل إلى القطب (الدى) المقابل بسرعة أكبر. ويدور في دائرة أكبر. وبتكرر هذا المشهد مرات ومرات وفي كل مرة يعجل البروتون إلى سرعات أكبر فأكبر وفي النهاية تحرف البروتونات عند محيط السيلكوترون على هيئة حزمة ذات طاقة عالية مسددة نحو هدف محدد.
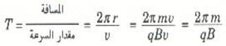
ويمكن حجر الزاوية في هذا الجهاز في حقيقة أن الزمن الذي يستغرقه جسيم مشحون ليدور مرة واحدة في مسار الدائرة لا يعتمد على سرعة الجسيم ولا على نصف قطر المسار. ومن السهل إثبات ذلك ، فالزمن الدوري T هو

أما التردد f الذي هو 1/T ،
فإذا تم عكس قطبية الجهد المطبق على القطبين بتردد يساوي نصف هذا المقدار فإنه يتوافق مع وصل البروتون إلى الفجوة ، بغض النظر عن مدى السرعة التي يتحرك بها البروتون أو مدى كبر نصف قطره مساره. وهكذا يتم تعجيل البروتون مرات كثيرة قبل أن يغادر السيكلوترون وهو مكتسب لطاقات عالية جداً.
الاكثر قراءة في مواضيع عامة في الفيزياء النووية
اخر الاخبار
اخبار العتبة العباسية المقدسة
الآخبار الصحية

قسم الشؤون الفكرية يصدر كتاباً يوثق تاريخ السدانة في العتبة العباسية المقدسة
"المهمة".. إصدار قصصي يوثّق القصص الفائزة في مسابقة فتوى الدفاع المقدسة للقصة القصيرة
(نوافذ).. إصدار أدبي يوثق القصص الفائزة في مسابقة الإمام العسكري (عليه السلام)