
تاريخ الفيزياء

علماء الفيزياء


الفيزياء الكلاسيكية

الميكانيك

الديناميكا الحرارية


الكهربائية والمغناطيسية

الكهربائية

المغناطيسية

الكهرومغناطيسية


علم البصريات

تاريخ علم البصريات

الضوء

مواضيع عامة في علم البصريات

الصوت


الفيزياء الحديثة


النظرية النسبية

النظرية النسبية الخاصة

النظرية النسبية العامة

مواضيع عامة في النظرية النسبية

ميكانيكا الكم

الفيزياء الذرية

الفيزياء الجزيئية


الفيزياء النووية

مواضيع عامة في الفيزياء النووية

النشاط الاشعاعي


فيزياء الحالة الصلبة

الموصلات

أشباه الموصلات

العوازل

مواضيع عامة في الفيزياء الصلبة

فيزياء الجوامد


الليزر

أنواع الليزر

بعض تطبيقات الليزر

مواضيع عامة في الليزر


علم الفلك

تاريخ وعلماء علم الفلك

الثقوب السوداء


المجموعة الشمسية

الشمس

كوكب عطارد

كوكب الزهرة

كوكب الأرض

كوكب المريخ

كوكب المشتري

كوكب زحل

كوكب أورانوس

كوكب نبتون

كوكب بلوتو

القمر

كواكب ومواضيع اخرى

مواضيع عامة في علم الفلك

النجوم

البلازما

الألكترونيات

خواص المادة


الطاقة البديلة

الطاقة الشمسية

مواضيع عامة في الطاقة البديلة

المد والجزر

فيزياء الجسيمات


الفيزياء والعلوم الأخرى

الفيزياء الكيميائية

الفيزياء الرياضية

الفيزياء الحيوية

الفيزياء والفلسفة

الفيزياء العامة


مواضيع عامة في الفيزياء

تجارب فيزيائية

مصطلحات وتعاريف فيزيائية

وحدات القياس الفيزيائية

طرائف الفيزياء

مواضيع اخرى
سرعة الموجات الكهرومغناطيسية
المؤلف:
فريدريك بوش ، دافيد جيرد
المصدر:
اساسيات الفيزياء
الجزء والصفحة:
18-1-2016
12003
سرعة الموجات الكهرومغناطيسية
هنالك طريقة تعتمد على حقيقة أشار إليها أينشتين بوضوح لأول مرة في نظريته للنسبية، السرعات النسبية فقط هي التي يمكن تعيينها. فيقال لجسم ما أنه ساكن بالنسبة لجسم آخر ولكنه لا يكون ساكناً بأي معنى مطلق آخر.
فحين تقرأ هذا الكلام، مثلاً، فقد تكون ساكناً بالنسبة للأرض، ولكن نفسها في حركة بالنسبة للشمس وبالتالي فأنت أيضاً كذلك. وبالإضافة إلى هذا فالشمس في حركة داخل مجرتنا ، درب التبانة (أو الطرق اللبنية)، ومجرتنا في حركة بالنسبة للمجرات الأخرى السابحة في الكون. وقولنا أن شيئاً ما في حالة سكون بالنسبة لشيء آخر قد يكون ذا معنى ولكننا لا تستطيع القول عن أي الجسمين في حالة سكون مطلق أو بأية طريقة لا تشتمل على مقارنة.
لنفهم القوة التي تتعرض لها شحنة q تتحرك بسرعة مقدارها v في اتجاه متعامد مع مجال مغناطيسي مقداره B1 وذلك في إطار الحقيقة السابقة. لقد وجدنا في الفصل التاسع عشر أن القوة التي تتعرض لها الشحنة هي:
F = vq B┴
ولكن من الذي يستطيع القول بأن الشحنة ليست ساكنة وأن المجال ــ بدلاً منها ــ هو الذي يتحرك؟ فالواقع أننا لا نلاحظ في النهاية إلا الحركة النسبية. ومن ثم فتجربتنا قد تفسر بطريقة بديلة على النحو التالي: إن مجالاً B يتحرك بسرعة v عمودياً على خطوط المجال مروراً بشحنة مقدارها q سيؤثر عليها بقوة مقدارها F = vq B┴.
وبما أن القوة المؤثرة على وحدة الشحنات F/q تعرف على أنها مقدار المجال الكهربي، فيمكننا أن نعيد صياغة هذا على النحو التالي:
عندما يتحرك مجال مغناطيسي B بسرعة مقدارها v عمودياً على خطوط المجال فإنه يولد مجالاً كهربياً مقداره.
(1) E = vB
في المنطقة التي يخترقها.
ولكي نوضح هذا عدنا ندرس الحالة المبينة في الشكل 1))، حيث يتحرك قطباً المغناطيس بسرعة مقدارها v في الاتجاه المبين. وهما بذلك يحملان معها خطوط المجال المغناطيسي، أي أن لدينا في هذه المنطقة مجالاً مقداره E = vB. ولابد أن تستطيع إثبات أن اتجاه E يكون إلى داخل الصفحة".

الشكل 1)): يتحرك المجال المغناطيسي B (المبين بالخطوط الملونة الرأسية) مع قطبي المغناطيس عبر النقطة A بسرعة مقدارها v وتولد هذه الحركة مجالاً كهربياً E = Bv يتجه إلى داخل الصفحة.
ويبدو من مسيرة هذا الاستدلال المنطقي أن المجال المغناطيسي المنطلق من هوائي جهاز إرسال لاسلكي لابد أن يولد مجالاً كهربياً في المنطقة التي يخترقها. وأنه عند نقطة معينة، لابد للمجال الكهربي أن يرتبط بسرعة تحرك موجة المجال المغناطيسي ومقدار ذلك المجال بالعلاقة E = Bv و هنا يثور السؤال عما إذا كان المجال الكهربي المتحرك. قادراً على توليد مجال مغناطيسي أم لا. إن الإجابة عن هذا السؤال ستفضى بنا إلى نتيجة مهمة للغاية.
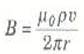
افترض أن لديك سلكاً طويلاً منتظم الشحنة كما هو مبين في الشكل 2)). وان السلك يتحرك نحو اليمين في اتجاه طوله بسرعة مقدارها v، هي نفس سرعة خطوط المجال الكهربي الصادر عنه والتي تتحرك عبر نقطة P. ونعلم أن السلك المشحون المتحرك يشكل تياراً بطول السلك، يتعين مقداره إذا علمنا كمية الشحنة التي تمر عبر P في الثانية الواحدة. فإذا فرضنا أن بالسلك شحنة مقدارها ρ في وحدة أطواله (لقد استخدمنا ρ للتعبير عن الكثافة الخطية للشحنة بدلاً من λ حتى نتجنب اللبس مع الرمز λ المستخدم للدلالة على الطول الموجي).
وأن طول السلك الذي يمر بالنقطة P في زمن قدره t هو vt ، فإن:

أي ان مقدار التيار الذي يشكله السلك المشحون المتحرك هو ρv.
على أن التيار ينتج مجالاً مغناطيسياً، لذلك فالسلك المتحرك يكون محاطاً بمجال مغناطيسي (عليك إثبات أن هذا المجال يحيط بالسلك ويتجه إلى خارج الصفحة في المنطقة الواقعة فوق السلك). أن المجال المغناطيسي الذي ينشؤه تيار I يمر في سلك طويل مستقيم هو B = μ0I/2πr . فإذا طبقنا هذه النتيجة على الحالة الراهنة، لوجدنا أن المجال المغناطيسي عند النقطة P هو
(2) 
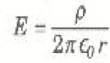
ونأمل الآن في ربط هذه النتيجة بالمجال الكهربي خارج السلك عند النقطة p.
أن المجال الكهربي خارج سلك مستقيم، طويل منتظم الشحنة هو
(3) 
حيث 0ϵ هي سماحية ومقدارها 8.85×10-12C2/N.m2 سنلغي الآن P من المعادلتين (2) و (3)
(4) B = ϵ0μ0vE
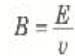
ويمكن مقارنة هذه المعادلة بالعلاقة السابقة:
(5) 
التي حصلنا عليها من قبل بالنسبة لمجال مغناطيسي متحرك.
وعلى الرغم من أن هذه تعتبر حالة خاصة جداً حيث يتحرك سلك مشحون بحيث يولد مجالاً مغناطيسياً، إلا أنها حالة نموذجية. إن الشحنات المتحركة تولد مجالاً مغناطيسياً، ولكن الشحنات المتحركة تكون مصحوبة بمجال كهربي يتحرك معها دائماً. والمجال المغناطيسي الذي تولده حركة الشحنات يمكن أن يعزى أيضاً إلى حركة المجال الكهربي وعلى هذا نستطيع أن نخرج بالنتيجة التالية:
المجال الكهربي E المتحرك بسرعة مقدارها u عمودياً على خطوط المجال، يولد مجالاً مغناطيسياً مقداره B = ϵ0μ0vE في المنطقة التي يخترقها.

الاكثر قراءة في الكهرومغناطيسية
اخر الاخبار
اخبار العتبة العباسية المقدسة
الآخبار الصحية

قسم الشؤون الفكرية يصدر كتاباً يوثق تاريخ السدانة في العتبة العباسية المقدسة
"المهمة".. إصدار قصصي يوثّق القصص الفائزة في مسابقة فتوى الدفاع المقدسة للقصة القصيرة
(نوافذ).. إصدار أدبي يوثق القصص الفائزة في مسابقة الإمام العسكري (عليه السلام)