
تاريخ الفيزياء

علماء الفيزياء


الفيزياء الكلاسيكية

الميكانيك

الديناميكا الحرارية


الكهربائية والمغناطيسية

الكهربائية

المغناطيسية

الكهرومغناطيسية


علم البصريات

تاريخ علم البصريات

الضوء

مواضيع عامة في علم البصريات

الصوت


الفيزياء الحديثة


النظرية النسبية

النظرية النسبية الخاصة

النظرية النسبية العامة

مواضيع عامة في النظرية النسبية

ميكانيكا الكم

الفيزياء الذرية

الفيزياء الجزيئية


الفيزياء النووية

مواضيع عامة في الفيزياء النووية

النشاط الاشعاعي


فيزياء الحالة الصلبة

الموصلات

أشباه الموصلات

العوازل

مواضيع عامة في الفيزياء الصلبة

فيزياء الجوامد


الليزر

أنواع الليزر

بعض تطبيقات الليزر

مواضيع عامة في الليزر


علم الفلك

تاريخ وعلماء علم الفلك

الثقوب السوداء


المجموعة الشمسية

الشمس

كوكب عطارد

كوكب الزهرة

كوكب الأرض

كوكب المريخ

كوكب المشتري

كوكب زحل

كوكب أورانوس

كوكب نبتون

كوكب بلوتو

القمر

كواكب ومواضيع اخرى

مواضيع عامة في علم الفلك

النجوم

البلازما

الألكترونيات

خواص المادة


الطاقة البديلة

الطاقة الشمسية

مواضيع عامة في الطاقة البديلة

المد والجزر

فيزياء الجسيمات


الفيزياء والعلوم الأخرى

الفيزياء الكيميائية

الفيزياء الرياضية

الفيزياء الحيوية

الفيزياء والفلسفة

الفيزياء العامة


مواضيع عامة في الفيزياء

تجارب فيزيائية

مصطلحات وتعاريف فيزيائية

وحدات القياس الفيزيائية

طرائف الفيزياء

مواضيع اخرى
قانون فاراداي وقانون لنز
المؤلف:
فريدريك بوش ، دافيد جيرد
المصدر:
اساسيات الفيزياء
الجزء والصفحة:
17-1-2016
14307
قانون فاراداي وقانون لنز
استنتج فاراداي أن القوة الدافعة الكهربية المستحثة تتواجد فقط عندما يتغير الفيض المغناطيسي الذي يتخلل الملف. وكمثال آخر ، سنفحص التجربة الموضحة في الشكل(1).

الشكل (1): ماذا يحدث في الملف الثانوي عندما يكون التيار المار في الملف الابتدائي ثابتاً؟ وماذا يحدث عندما يفتح المفتاح؟ وعندما يضغط عليه ليقفل؟
عندما يضغط المفتاح ليقفل فإن التيار المار في الملف الابتدائي يخلق المجال المغناطيسي المبين بالشكل. وبما أن خطوط المجال ستتخذ القضيب الحديدي مساراً ، فإن فيضاً كبيراً يمر خلال الملف الثانوي. أما إذا جذب المفتاح ليفتح فإن هذا الفيض يتناقص حتى يصبح صفراً لأن التيار الذي يتسبب فيه قد توقف. أي أن القوة الدافعة الكهربية المستحثة في الملف الثانوي لا توجد بالفعل إلا عند حدوث هذا التغير في الفيض ؛ ولن تكون هناك أية قوة دافعة مستحثة عندما لا يكون الفيض في حالة تغير. وتدل نبضة التيار المسجلة في الجلفانومتر على وجود قوة دافعة كهربية مستحثة في الملف الثانوي. (الشكل ((1).
وبالمثل ، فإننا لو بدأنا التجربة والمفتاح مفتوح ، فإن الفيض خلال الملف الثانوي يكون صفراً. فإذا ضغط المفتاح ليقفل فستمر برهة قصيرة من الزمن يتنامى فيها الفيض حتى يصل إلى قيمته المناظرة لحالة الاستقرار. ومرة أخرى يرصد تيار في الملف الثانوي أثناء هذه البرهة. ويكون التيار هذه المرة في عكس اتجاه التيار الذي مر عندما جذب المفتاح ليفتح. وبمجرد أن يصل التيار إلى القيمة المناظرة لحالة الاستقرار فإن القوة الدافعة الكهربية في الملف الثانوي تختفى.. لأن الفيض المغناطيسي الذي يتخلل الملف الثانوي قد صار مرة أخرى ثابتاً لا يتغير.
وتؤكد التجربة المبينة في الشكل ((2 استنتاج فاراداي. فيلاحظ أنه لكون خطوط المجال أكثر كثافة بالقرب من المغناطيس ، لذا ينمو الفيض المتخلل للملف مع اقتراب المغناطيس أكثر فأكثر. ويظل هناك تيار في الملف طالما ظل المغناطيس متحركاً نحو الملف وعندما يصبح المغناطيس ساكناً فلن يكون هناك تعير في الفيض وبالتالي لا يستحث تيار في الملف. وعندما يسحب الملف كما في الشكل ((2 فإن الفيض يأخذ في التناقص. ويسجل الجلفانومتر في الاتجاه المضاد. ويدل اتجاهها التيار على أن قطبية القوة الدافعة الكهربية المستحثة عند اقتراب المغناطيس ، تكون عكس تلك التي تحدث عند تراجع المغناطيس وتباعده. وهذا ما يوضحه الشكل ((2 (ب) و (جـ).

الشكل ((2: عندما يتحرك المغناطيس كما في الجزء (ب)، (جـ) فإن التيار المستحث يتجه كما في الرسم، لماذا؟
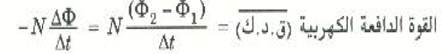
ونستطيع الآن أن نقدم صياغة كمية لنتائج فاراداي. تفترض أن الفيض المغناطيسي الذي يتخلل ملفاً به عدد N عروة.، يتغير من 1Φ إلى 2Φ في زمن قدرهt Δ. وقد وجد فاراداي أن متوسط القوة الدافعة الكهربية المستحثة في الملف خلال هذا التغير هي
(1) 
وهو ما يطلق عليه قانون فاراداي للحث المغناطيسي. وهو أحد أكثر مبادئ الكهربية وللمغناطيسية أهمية ، بل ويعتبر أساس عمل المولدات الكهربائية والمحركات وعدد كبير من الاجهزة المهمة.
وكما هو شأن أي تيار آخر فإن التيار المستحدث ينتج مجالاً مغناطيسياً خاصاً به. والشكل (3) يبين اتجاهات هذا المجال المستحثBind )) والناشئ من تحركات المغناطيسين المرسومين في الأشكال (ب)، (جـ) وعليك التأكد من أن الاتجاهات المبينة للمجال Bind )) في الشكل(3) تتفق مع قاعدة اليد اليمنى.

الشكل (3): يخلق التيار المستحث فيضاً مغناطيسياً يتخلل الملف، بحيث يعارض التغير في الفيض الناتج عن مجال خارجي متغير (ليس مبيناً هنا). (أ) عند اقتراب القطب الشمالي من الملف، كما في الشكل (2 ب) . (ب) يتراجع القطب الشمالي كما في الشكل (2 جـ).
ومن المهم عند هذه النقطة أن ندرك أن الفيض المغناطيسي Φ يمكن أن يكون موجباً او سالباً ، اعتماداً على ما إذا كانت الزاوية θ المحصورة بين B و n تقع بين 0o و90o أو بين90o و180o . وبعبارة أخرى ، إذا انعكس اتجاه المغناطيسي خلال مساحة ما فإن إشارة Φ تنعكس هي الأخرى. وفيما يأتي من مناقشة سنعتبر أن العمود المقام على مستوى الملف والمغناطيس الخارجي يقعان بطور محور x. وعلى هذا يكون الفيض موجباً إذا كان للمجال المغناطيسي مركبة في الاتجاه +x ، وسالباً عندما تكون المركبة في الاتجاه –x.
وفي الحالات التي يغطيها الشكلان ((2 ، (3)، هناك مصدران للمجال المغناطيسي ومن ثم مصدران للفيض المغناطيسي الذي يتخلل الملف فمصدر الفيض extΦ هو مجال المغناطيس(Bext) ، ومصدر الفيض intΦ هو المجال المغناطيسيBint) ) الذي ينتجه التيار المستحث. يلاحظ في الشكل (2 ب) أن المجالBext يتجه نحو اليسار ولذا يكون سالباً. وعندما يقترب فإن مزيداً من خطوط Bext تخترق مستوى الملف ، ومن ثم يزداد هذا الفيض السالب.
أما في الشكل ( 2جـ) فإن المجال المغناطيسي الخارجي الذي يخلق الفيض extΦ يتجه أيضاً نحو اليسار ؛ ولذلك يكون extΦ سالباً هو الآخر. إلا أن هذا الفيض السالب خلال الملف يتناقص لأن المغناطيس يتحرك مبتعداً عن الملف. ويوضح الشكل (3 ب) ان المجال المغناطيسي المستحثBind الناشئ عن التيار المستحث سيتجه الآن نحو اليسار ، لذا فإنind Φ الناتج عن هذا المجال يكون سالباً. هذا الفيض السالبind Φ يعوض بعضاً من الفيض extΦ الذي أزيل عند تراجع المغناطيس. وهكذا ــ ومرة أخرى ــ فإن الفيض المستحث يعارض التغير الحادث في الفيض الخارجي.
والأمر المشترك بين هاتين الحالتين هو أن تياراً يستحث في أي اتجاه من شأنه خلق فيض مستحث يعارض التغير في الفيض الخارجي الناشئ عن Bext أي أن ، الفيض المستحث يميل إلى المحافظة على ظروف الفيض الأصلي. وقد اتضح أن هذه الملاحظة تعتبر مبدأ عاماً وتسمى قانون لنز:
يستحدث التغير في الفيض المغناطيسي الخارجي extΦ خلال الملف قوة دافعة كهربية (ق. د. ك) في الملف. ويكون اتجاه التيار الذي تحدثه هذه القوة الدافعة الكهربية بحيث ينتج المجال المغناطيسي الذي يخلقه Bind فيضاًind Φ يعارض الغير الحادث في extΦ.
الاكثر قراءة في الكهرومغناطيسية
اخر الاخبار
اخبار العتبة العباسية المقدسة
الآخبار الصحية

قسم الشؤون الفكرية يصدر كتاباً يوثق تاريخ السدانة في العتبة العباسية المقدسة
"المهمة".. إصدار قصصي يوثّق القصص الفائزة في مسابقة فتوى الدفاع المقدسة للقصة القصيرة
(نوافذ).. إصدار أدبي يوثق القصص الفائزة في مسابقة الإمام العسكري (عليه السلام)