Organoxenon compounds
المؤلف:
Peter Atkins, Tina Overton, Jonathan Rourke, Mark Weller, and Fraser Armstrong
المصدر:
Shriver and Atkins Inorganic Chemistry ,5th E
الجزء والصفحة:
ص445-446
2025-09-22
365
Organoxenon compounds
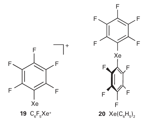
Key point: Organoxenon compounds can be prepared by xenodeborylation of an organoboron compound. The first compound containing Xe C bonds was reported in 1989. Since then, a wide variety of organoxenon compounds have been prepared. The most useful routes to organoxenon compounds are through the fluorides XeF2 and XeF4. Organoxenon (II) salts can be prepared from organoboranes byxenodeborylation, the substitution of B by Xe. For example, tris(pentafluorophenyl)borane reacts with XeF2 in dichloro methane to produce arylxenon(II) fluoroborates (19):

When this reaction is carried out in anhydrous HF, all the C6F5 groups are transferred to the Xe:

A general route that can be used to introduce other organic groups uses organodifluoroboranes, RBF2:

In addition to xenodeborylation, organoxenon (II) compounds (20) can be prepared from C6F5 SiMe3:

Organoxenon (II) compounds are thermally unstable and decompose above 40°C.

The first organoxenon(IV) compound was prepared by the reaction between XeF4 and C6F5BF2 in CH2Cl2:

Organoxenon (IV) compounds are less thermally stable than the analogous Xe (II) compounds. In all Xe (II) and Xe (IV) salts the Xe atom is bonded to a C atom that is part of a π system. Extended π systems, such as in aryl groups, increase the stability of the Xe C bond. This stability is further favoured by the presence of electron-withdrawing substituents (such as fluorine) on the aryl group.
الاكثر قراءة في مواضيع عامة في الكيمياء العضوية
اخر الاخبار
اخبار العتبة العباسية المقدسة