
تاريخ الفيزياء

علماء الفيزياء


الفيزياء الكلاسيكية

الميكانيك

الديناميكا الحرارية


الكهربائية والمغناطيسية

الكهربائية

المغناطيسية

الكهرومغناطيسية


علم البصريات

تاريخ علم البصريات

الضوء

مواضيع عامة في علم البصريات

الصوت


الفيزياء الحديثة


النظرية النسبية

النظرية النسبية الخاصة

النظرية النسبية العامة

مواضيع عامة في النظرية النسبية

ميكانيكا الكم

الفيزياء الذرية

الفيزياء الجزيئية


الفيزياء النووية

مواضيع عامة في الفيزياء النووية

النشاط الاشعاعي


فيزياء الحالة الصلبة

الموصلات

أشباه الموصلات

العوازل

مواضيع عامة في الفيزياء الصلبة

فيزياء الجوامد


الليزر

أنواع الليزر

بعض تطبيقات الليزر

مواضيع عامة في الليزر


علم الفلك

تاريخ وعلماء علم الفلك

الثقوب السوداء


المجموعة الشمسية

الشمس

كوكب عطارد

كوكب الزهرة

كوكب الأرض

كوكب المريخ

كوكب المشتري

كوكب زحل

كوكب أورانوس

كوكب نبتون

كوكب بلوتو

القمر

كواكب ومواضيع اخرى

مواضيع عامة في علم الفلك

النجوم

البلازما

الألكترونيات

خواص المادة


الطاقة البديلة

الطاقة الشمسية

مواضيع عامة في الطاقة البديلة

المد والجزر

فيزياء الجسيمات


الفيزياء والعلوم الأخرى

الفيزياء الكيميائية

الفيزياء الرياضية

الفيزياء الحيوية

الفيزياء والفلسفة

الفيزياء العامة


مواضيع عامة في الفيزياء

تجارب فيزيائية

مصطلحات وتعاريف فيزيائية

وحدات القياس الفيزيائية

طرائف الفيزياء

مواضيع اخرى
الشغل وطاقة الحركة الدورانيان
المؤلف:
فريدريك بوش ، دافيد جيرد
المصدر:
اساسيات الفيزياء
الجزء والصفحة:
الفصل 8
2-2-2016
10566
الشغل وطاقة الحركة الدورانيان
من السهل أن نرى ان للجسم الدائر طاقة حركة. فالعجلة المبينة في الشكل ((1 مثلاً تتكون من قطع صغيرة من الكتلة يتحرك كل منها أثناء حركة العجلة. فأي جزء صغير من الكتلة، مثل الجزءm1 في الشكل، له سرعة قدرهاv1 ، وله بالتالي طاقة حركة تساوي1/2 m1 v21 . لنبدأ دراستنا لخواص الأجسام الدائرة بتحليل كيف يمكن ان تكتسب عجلة ما طاقة حركتها.

الشكل ((1
يمثل الشكل (2) عجلة ساكنة في البداية، ولكنها تستطيع الدوران بحرية حول محور دورانها الذي يمر بمركزها. عندما تؤثر قوة شد F على الخيط الملفوف على حافة العجلة تبدأ العجلة في الدوران. في هذه الحالة يعطى الشغل المبذول بواسطة القوة أثناء شد الخيط مسافة قدرها s بالمعادلة:
Fs = الشغل المبذول بواسطة F

الشكل (2)
وبدوران العجلة زاوية قدرها θ ينفك من الخيط طول قدره s، حيث تمثل العلاقة بين s و θ بالمعادلةs = rθ . وبالتعويض عن s بهذه القيمة نصل إلى التعبير الآتي للشغل المبذول:
F rθ = الشغل المبذول بواسطة F
يمكننا فهم هذه العلاقة بصورة أفضل بملاحظة أن Fr هي " القوة المضروبة في ذراع الرافعة " في الشكل (2) ، وهذه الكمية ببساطة هي عزم الدوران T المؤثر على العجلة. ومن ثم نجد أن العلاقة بين الشغل المبذول على العجلة عندما تدور زاوية قدرها θ وعزم الدوران المؤثر عليها هي :
(1) W = Tθ
من المهم ملاحظة أن هذه هي النتيجة التي يمكن التوصل إليها تخميناً بالتناظر مع الحركة الخطية. ففي حالة الحركة الخطية نجد أنW = Fx x ، أما في حالة الدوران فإن القوة تستبدل بعزم الدوران، كما ان المسافة الخطية تستبدل بالمسافة الزاوية وعليه فإن Fx x في الحركة الدورانية تصبح Tθ في الحركة الدورانية ، كما أثبتنا في المعادلة (1).
طبقاً لنظرية الشغل والطاقة يجب أن يظهر الشغل المبذول بواسطة صافي القوة على العجلة في صورة طاقة حركة. وسوف تسمى طاقة حركة جسك دائر بطاقة الحركة الدورانيةKErot وربما تذكر أن طاقة حركة جسم بسبب حركته الخطية هي 1/2 mv2، وسوف يشار إلى هذه الطاقة فيما بعد باسم طاقة الحركة الانتقاليةKEtrans لنحاول الآن حساب طاقة حركة جسم دائر بالاستعانة بطاقة حركة كل من كتل الأجزاء الصغيرة المكونة للجسم.
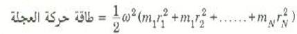
لنعد مرة أخرى إلى الشكل (1). عندما تدور العجلة تكتسب كل كتلة دقيقة ( مثل m1) من الكتل المماثلة الكثيرة المكونة للجسم طاقة حركة انتقالية، وهذه تكون 1/2 m1 v21 للكتلة m1. وإذا اعتبرنا أن العجلة تتكون من عدد قدره Nمن الكتل الدقيقةm1 ،m2 ،m3 ،...mN المكونة للعجلة فإن طاقة حركتها الكلية تكون:

ولكنm1 مثلاً تتحرك في دائرة نصف قطرهاr1، وتكون سرعتها المماسية على هذه الدائرةv1 وحيث أن السرعة الزاوية للعجلة ترتبط بهذه السرعة المماسية طبقاً للمعادلةv1 = ωr1 ، فإن :

وبالمثل يمكننا استنتاج تعبيرات مشابهة لجميع الكتل الدقيقة الأخرى. إذن، بالتعويض عن هذه القيم في معادلة طاقة الحركة نحصل على:

وحيث أن كل اجزاء العجلة تتحرك جميعها بنفس السرعة الزاوية ω، يمكننا إذن كتابة المعادلة السابقة على الصورة:

المقدار بين القوسين في العلاقة السابقة يسمى عزم القصور الذاتي للجسم الدائر ويرمز له عادة بالرمز I:
(2)
لاحظ أن وحدات I في النظام SI هيkg. m2 .
وعندئذ سنرى أنه حقيقة مقياس للقصور الذاتي للعجلة. ومع ذلك يمكننا أن نرى حتى في هذه اللحظة أنه يعتمد ليس فقط على كمية المادة m في الجسم، بل إنه يعتمد أيضاً على كيفية توزيع تلك المادة.
الآن يمكن كتابة تعبيرنا لطاقة حركة العجلة الدائرة بدلالة I :
(3) 
هذه هي طاقة حركة الجسم التي يكتسبها بسبب دورانه. لاحظ مرة ثانية أنه كان بإمكاننا تخمين الصورة العامة لطاقة الحركة الدورانية. وبالتماثل مع الكمية1/2mv2 فإن السرعة الخطية v قد استبدلت بالسرعة الدورانية ω وأن I هي المقابل الدوراني للكتلة m.
أن الطاقة الدورانية مرتبطة بالشغل المبذول على العجلة بواسطة عزم الدوران المؤثر عليها. ولكي نكون أكثر تحديداً، لنفرض أن العجلة دائرة بسرعة مقدارها 0ω ثم أثرنا عليها فجأة بعزم دوران معينT0 لنفرض أن تأثير عزم الدوران قد استمر أثناء دوران العجلة بزاوية θ ( بحيث كان الشغل المبذول بواسطة عزم الدوران Tθ) ثم أزيل عنها ، وأن السرعة الزاوية للعجلة في تلك اللحظة fω بتطبيق نظرية الشغل والطاقة على هذا الموقف نجد أن:
التغير في KE للعجلة = الشغل المبذول على العجلة

حيث استخدمنا المعادلة (1) للتعبير عن طاقة الحركة الدورانية للعجلة.
يمكن تبسيط هذه العلاقة بين الشغل وطاقة الحركة الدورانية باستخدام معادلة الحركة الزاوية:
وبالتعويض عن هذه الكمية في معادلة الشغل والطاقة السابقة واختصار θ نحصل على:
(4) T = I α
حيث a هي العجلة الزاوية مقدرة بالزوايا نصف القطرية لكل ثانية مربعة. بهذه الطريقة أمكننا الوصول إلى علاقة بين العجلة الزاوية لحركة العجلة وعزم الدوران المسبب لهذه العجلة. هذه المعادلة للحركة الدورانية تناظر المعادلة F= ma في حالة الحركة الخطية.
الاكثر قراءة في الميكانيك
اخر الاخبار
اخبار العتبة العباسية المقدسة
الآخبار الصحية

قسم الشؤون الفكرية يصدر كتاباً يوثق تاريخ السدانة في العتبة العباسية المقدسة
"المهمة".. إصدار قصصي يوثّق القصص الفائزة في مسابقة فتوى الدفاع المقدسة للقصة القصيرة
(نوافذ).. إصدار أدبي يوثق القصص الفائزة في مسابقة الإمام العسكري (عليه السلام)