
تاريخ الفيزياء

علماء الفيزياء


الفيزياء الكلاسيكية

الميكانيك

الديناميكا الحرارية


الكهربائية والمغناطيسية

الكهربائية

المغناطيسية

الكهرومغناطيسية


علم البصريات

تاريخ علم البصريات

الضوء

مواضيع عامة في علم البصريات

الصوت


الفيزياء الحديثة


النظرية النسبية

النظرية النسبية الخاصة

النظرية النسبية العامة

مواضيع عامة في النظرية النسبية

ميكانيكا الكم

الفيزياء الذرية

الفيزياء الجزيئية


الفيزياء النووية

مواضيع عامة في الفيزياء النووية

النشاط الاشعاعي


فيزياء الحالة الصلبة

الموصلات

أشباه الموصلات

العوازل

مواضيع عامة في الفيزياء الصلبة

فيزياء الجوامد


الليزر

أنواع الليزر

بعض تطبيقات الليزر

مواضيع عامة في الليزر


علم الفلك

تاريخ وعلماء علم الفلك

الثقوب السوداء


المجموعة الشمسية

الشمس

كوكب عطارد

كوكب الزهرة

كوكب الأرض

كوكب المريخ

كوكب المشتري

كوكب زحل

كوكب أورانوس

كوكب نبتون

كوكب بلوتو

القمر

كواكب ومواضيع اخرى

مواضيع عامة في علم الفلك

النجوم

البلازما

الألكترونيات

خواص المادة


الطاقة البديلة

الطاقة الشمسية

مواضيع عامة في الطاقة البديلة

المد والجزر

فيزياء الجسيمات


الفيزياء والعلوم الأخرى

الفيزياء الكيميائية

الفيزياء الرياضية

الفيزياء الحيوية

الفيزياء والفلسفة

الفيزياء العامة


مواضيع عامة في الفيزياء

تجارب فيزيائية

مصطلحات وتعاريف فيزيائية

وحدات القياس الفيزيائية

طرائف الفيزياء

مواضيع اخرى
المقذوف المنطق أفقياً
المؤلف:
فريدريك بوش ، دافيد جيرد
المصدر:
اساسيات الفيزياء
الجزء والصفحة:
الفصل 2
31-1-2016
4718
المقذوف المنطق أفقياً
يمثل الشكل 1)) أ كرة بيسبول منطقة أفقياً من النقطة A بسرعة قيمتها v0. وإذا كانت مقاومة الهواء مهملة ستتحرك الكرة بنفس هذه السرعة الأفقية إلى أن تصطدم بأي شيء في طريقها ، بمعنى أنه ليس الكرة مركبة أفقية للعجلة. في نفس الوقت تتزايد سرعة الكرة أثناء حركتها رأسياً إلى أسفل بمعدل 9.8 m/s لكل ثانية أثناء السقوط الحر للكرة . لنحلل الآن هذا النوع من الحركة.

الشكل (1)
حيث أن الحركتين المتعامدتين مستقلتين إحداهما عن الأخرى ، يمكن تحليل كل منهما على حدة. لندرس أولاً الحركة الأفقية فهي بسيطة للغاية لأنها حركة خطية بسرعة ثابتة v0. إذن ، نظراً لأن العجلة الأفقية تساوي صفراً فإن المعادلتين اللتين تصفان المركبة الافقية لحركة الكرة تكونان:

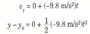
وفي الحركة الرأسية تتحرك الكرة في الاتجاه y نتيجة لسقوطها تحت تأثير عجلة الجاذبية الأرضية، ولهذا تنطبق معادلاتنا السابقة للحركة ذات العجلة المنتظمة على هذه المركبة لحركة الكرة. ويمكننا أن نرى من الشكل 1)) أن القيمة الابتدائية لمركبة السرعة الرأسية صفر، أي v0y= 0. فإذا اعتبرنا y = 0 عند سطح الأرض يمكننا القول أن الموضع الرأسي الابتدائي للكرة هو y0. وعليه فإن الحركة الرأسية للكرة يمكن وصفها بالمعادلتين:

إذن :
هذه هي المرة الأولى التي يستخدم فيها موضع ابتدائي ( x0 أو y0 ) مختلف عن الصفر ، وهذا ليس مشكلة على الإطلاق لأن اختيار الموضع الابتدائي اعتباطي دائماً.
طريقتنا إذن هي أن نعتبر أن حركة أي مقذوف بالقرب من سطح الأرض مكونة من حركتين مستقلتين. وإذا كانت مقاومة الهواء مهملة تكون الحركة الأفقية حركة ثابتة السرعة ؛ وتعالج الحركة الرأسية كحركة جسم ساقط سقوطاً حراً على استقامة خط رأسي. بعدئذ تحسب كل حركة بشكل مستقل كإحدى مركبتي الحركة.
الاكثر قراءة في الميكانيك
اخر الاخبار
اخبار العتبة العباسية المقدسة
الآخبار الصحية

قسم الشؤون الفكرية يصدر كتاباً يوثق تاريخ السدانة في العتبة العباسية المقدسة
"المهمة".. إصدار قصصي يوثّق القصص الفائزة في مسابقة فتوى الدفاع المقدسة للقصة القصيرة
(نوافذ).. إصدار أدبي يوثق القصص الفائزة في مسابقة الإمام العسكري (عليه السلام)