
تاريخ الفيزياء

علماء الفيزياء


الفيزياء الكلاسيكية

الميكانيك

الديناميكا الحرارية


الكهربائية والمغناطيسية

الكهربائية

المغناطيسية

الكهرومغناطيسية


علم البصريات

تاريخ علم البصريات

الضوء

مواضيع عامة في علم البصريات

الصوت


الفيزياء الحديثة


النظرية النسبية

النظرية النسبية الخاصة

النظرية النسبية العامة

مواضيع عامة في النظرية النسبية

ميكانيكا الكم

الفيزياء الذرية

الفيزياء الجزيئية


الفيزياء النووية

مواضيع عامة في الفيزياء النووية

النشاط الاشعاعي


فيزياء الحالة الصلبة

الموصلات

أشباه الموصلات

العوازل

مواضيع عامة في الفيزياء الصلبة

فيزياء الجوامد


الليزر

أنواع الليزر

بعض تطبيقات الليزر

مواضيع عامة في الليزر


علم الفلك

تاريخ وعلماء علم الفلك

الثقوب السوداء


المجموعة الشمسية

الشمس

كوكب عطارد

كوكب الزهرة

كوكب الأرض

كوكب المريخ

كوكب المشتري

كوكب زحل

كوكب أورانوس

كوكب نبتون

كوكب بلوتو

القمر

كواكب ومواضيع اخرى

مواضيع عامة في علم الفلك

النجوم

البلازما

الألكترونيات

خواص المادة


الطاقة البديلة

الطاقة الشمسية

مواضيع عامة في الطاقة البديلة

المد والجزر

فيزياء الجسيمات


الفيزياء والعلوم الأخرى

الفيزياء الكيميائية

الفيزياء الرياضية

الفيزياء الحيوية

الفيزياء والفلسفة

الفيزياء العامة


مواضيع عامة في الفيزياء

تجارب فيزيائية

مصطلحات وتعاريف فيزيائية

وحدات القياس الفيزيائية

طرائف الفيزياء

مواضيع اخرى
التلسكوب الفلكي
المؤلف:
فريدريك بوش ، دافيد جيرد
المصدر:
اساسيات الفيزياء
الجزء والصفحة:
15-1-2016
9383
التلسكوب الفلكي
الغرض من التليسكوب ــ خلافاً للميكروسكوب ــ هو تكبير الأشياء البعيدة جداً. وينطبق هذا على التليسكوبات الفلكية حيث تنتشر الأجرام التي ندرسها في الكون بأكمله ويحتاج الفلكيون للتليسكوب لتكون لديهم القدرة على ما هو مختلف عن مجرد تكوين صورة مكبرة ولابد للتليسكوب الجيد أن (1) يجمع ما يكفى من الضوء الصادر عن مصادر خافتة، لتكوين صورة ساطعة و (2) يحلل أكثر ما يمكن من التفاصيل في الصورة.
وأهم عنصر في التليسكوب هو العدسة أو المرآة الاولية أو الشيئية التي تجمع الضوء من جسم بعيد تم تكون صورة له. وحيث أن المسافة إلى الجسم لانهائية فالصورة تتكون عند مسافة f0 من العدسة الشيئية.
والتليسكوبات التي تستخدم عدسة شيئية تسمى تليسكوبات كاسرة؛ أما التي تستخدم مرايا منحنية تقوم بدور الشيئية.
والتلسكوبات التي تستخدم عدسة شيئية تسمى تليسكوبات كاسرة؛ أما التي تستخدم مرايا منحني تقوم بدور الشيئية فتسمى تليسكوبات عاكسة. ومعرف أن بناء مرايا ضخمة أرخص وأيسر كثيراً من بناء عدسات ضخمة. فالمرايا يمكن جعلها خفيفة الوزن ، كما انها لا تحتاج سوى لسطح مصقول بدقة. ولهذا السبب صارت كل التليسكوبات الحديثة الضخمة تليسكوبات عاكسة. ومن بين أكبر تلك التليسكوبات ذلك المعروف بتليسكوب هيل على جبل بالومالر بكاليفورنيا وآخر موجود في أوكرانيا ولها مرايا شيئية أقطارها على الترتيب 5m و 6 m. على أن اكبر تليسكوب كاسر هو ذلك يبلغ قطر عدسته 1 m وهو موجود في مرصد بيركيز في خليج وليامز بولاية ويسكونسن وقد بنى قرن مضى تقريباً.
وقد تستخدم التليسكوبات للرؤية المباشرة، حيث تستخدم عدسة عينية لتكبير ورؤية الصورة التي تكونها الشيئية مثلما يحدث في الميكروسكوب. على أن الرؤية عادة ما تتم بشكل مباشر في التليسكوبات الصغيرة فحسب وللاستعمال العابر. ام التليسكوبات المستخدمة في الأبحاث فهي غالباً ما تستعمل بدون وجود عدسة عينية، إذ إنها تعمل بالضبط مثل كاميرات ضخمة، حيث تقوم العدسات أو المرايا الشيئية بتكوين صورة على لوح فوتوغرافي أو اجهزة إحساس إلكترونية.
دعنا الآن نبحث في معايير اداة التليسكوبات الفلكية بشيء من التفصيل. وعلى الرغم من أننا سوف نستعمل رسم مسارات الأشعة في العدسات، إلا أن كل ما سنحثل عليه من نتائج سيكون صالحاً للتطبيق على التليسكوبات العاكسة أيضاً.
إن حجم أو مقياس الصورة التي كونتها الشيئية، يتناسب مع بعدها البؤري f0 ويمكننا أن نرى أنه في حالة الكاميرا تقابل العدسة نفس الزاوية ϕ بالنسبة لكل من الجسم والصورة. ولذلك يكون حجم الصورة على الفيلم .I = i tan ϕ وبالنسبة للمصادر الفلكية فإن p0 = ∞ ، i0 = f0 و tan ϕ = ϕ حيث ϕ هي الزاوية المقاسة بالتقدير الدائري. ومن هذا يمكننا اشتقاق معادلة لحجم الصورة:
(1) 
حيث استخدمنا معامل التحويل من قيم ϕ بالتقدير الدائري إلى قيمتها بالدرجات.
وتتناسب درجة سطوع الصورة B مع مساحة فتحة الشيئية ، والتي تتناسب بدورها مع مربع قطر الشيئية d، كما تتناسب B أيضاً مع مربع البعد البؤري f0 عكسياً أي أن B – (d/f0)2.
ومعيار الاداء الثالث هو مقدرة التليسكوب على تحليل التفاصيل الدقيقة. وفي النهاية فهي حدود الحيود:

وإذا كانت كل من λ و d مقاستين بنفس الوحدات فإن θ ستكون بالتقدير الدائري.
ونستطيع الآن تلخيص المعايير الثلاثة كما يلي:
1ـ يعطي البعد البؤري الطويل للشيئية صورة كبيرة ذات سطوح منخفض نسبياً فإذا لم يكن السطوح مهماً مثلما هو الحال في التليسكوب الشمسي المخصص لتصوير الشمس فيمكننا تحمل الحصول على صورة كبيرة من غير أن نهتم بمقدرتنا على رؤيتها.
2- تستفيد كل من درجة السطوح ودرجة التحليل(التفريق) من كون قطر الشيئية او الفتحة كبير. وإذا تم الحصول على تفريق ممتاز فإن حجم الصورة يصبح أمراً ثانوياً وهكذا يكون القطر الكبير للشيئية هو أهم عامل في تحديد أداء التليسكوب.

الشكل 1)): تليسكوب فلكي مجهز بعدسة عينية.
ويوضح الشكل 1)) كيفية استخدام التليسكوب في وجود عينية. فالعدسة الشيئية تكون صورة حقيقية لجسم لا نهائي البعد وعلى مسافة f0 وراء العدسة الشيئية والبعد البؤري f0 للشيئية أكبر بكثير من مثيله في الميكروسكوب. كما توضع عدسة عينية تعمل كعدسة مكبرة بحيث تنطبق بؤرتها Fe بالضرورة مع F0 ويكون البعد البؤري fe للعينية أقصر بكثير من f0. ولذلك فإن العينية ستكون صورة تقديرية نهائية للجسم عند مالانهاية. وترى العين المسترخية عندئذ الصورة المكبرة.
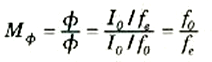
نستطيع الآن، اشتقاق معادلة التكبير الزاوي لتليسكوب مجهز بعينية بمساعدة الشكل 2)). والزاوية ϕ التي يقابلها الجسم البعيد عند الشيئية هي نفس الزاوية التي تقابلها الصورة I0 عند الشيئية. وهذه العلاقة تؤدي إلى:

أما الزاوية المكبرة 'ϕ التي تراها العين فتعطى بالمعادلة:

والنسبة بين هاتين المعادلتين هي
(2) 

الشكل 2)): يكبر التليسكوب الزاوية المقابلة للأجسام البعيدة جداً.

الشكل 3)): الترتيبات المتنوعة للمرايا في التليسكوبات العاكسة.
إذا كانت المرايا تعكس الضوء ليرتد على طول محور التليسكوب، فقد ابتكر الفلكيون طرقاً عديدة لتوجيه الضوء بواسطة عواكس نحو البقعة المناسبة. ويوضح الشكل 3)) بعضاً من هذه الطرق. ويستوعب أكبر التليسكوبات اجهزة كثيرة بل ويستوعب حتى الفلكي نفسه عند بؤرة العدسة الشيئية تماماً (وهي المسماة بالبؤرة الأولية) داخل التليسكوب كما في الشكل (3 أ).
أما البديل الثاني فهو الترتيب النيوتوني، والذي استخدمه لأول مرة إسحق نيوتن، وهو مناسب للتليسكوبات الأصغر بوجه خاص. ويستخدم في هذا التصميم (الشكل (3 ب)) مرآة صغيرة مستوية مثبتة قطرياً على محور التليسكوب بحيث تكون أقرب إلى الشيئية منها إلى البؤرة الأولية. وتقطع هذه المرآة الأشعة القادمة من الشيئية قبل وصولها إلى البؤرة الأولية، ثم تقوم بحرفها عمودياً على محور التليسكوب.
ثم تمر الأشعة عبر ثقب صغير لتصل إلى بؤرة كما هو موضح عند جانب التليسكوب. وحيث أن معظم مساحة المرآة الشيئية، ومن ثم معظم الضوء الذي تجمعه، يتضمن الأجزاء الخارجية للمرآة، فإن المرآة الثانوية الموضوعة مركزياً لن تقطع سوى قليل من الضوء.
يوضح الشكل (3 جـ) ترتيباً آخر للمرآة، يسمى الكاسيجراني، حيث توجد به مرآة ثانوية محدبة تعيد توجيه الضوء لينتقل على طول محور التليسكوب حتى ينفذ من ثقب مركزي في المرآة الشيئية. وتتكون الصورة خلف فتحة الخروج هذه مباشرة وهكذا نرى ان هذا الترتيب يطيل البعد البؤري للشيئية وذلك " بثنيه" لمسار الضوء ومن شأن هذا ان يقلل من الطول الفيزيائي للتليسكوب مع الاحتفاظ بميزة وجود شيئية ذات بعد بؤري طويل.
لقد عرفنا أن كلاً من التحليل (التفريق) والقدرة على جمع الضوء يزداد عند جعل قطر الشيئية كبيراً جداً. على ان هذا ــ لو حدث ــ لأصبح الزيغ الكري خطيراً لأن كثيراً من الضوء سينعكس من أجزاء المرآة البعيدة عن المحور. وللقضاء على هذه المشكلة فإن معظم المرايا الشيئية الضخمة تتم صناعتها بمقطع مستعرض على هيئة قطع مكافئ بدلاً من المقطع الكري. فالأسطح التي على هيئة قطع مكافئ تقوم بتركيز الأشعة المتوازية في البؤرة بدقة، حتى لو سقطت تلك الأشعة بعيداً عن المحور المركزي.
ومع ان النظارات المعظمة (ذات العينيين) لا تستخدم للرصد الفلكي إلا في الحالات العابرة جداً إلا أنها عبارة عن تليسكوبين متجاورين. مما يتيح للمشاهد أن يرى صوراً مكبرة مع غدراك العمق الذي يوفره استعمال العينين. كما أن المنشورات الموجود بين العدستين الشيئيتين والعدستين العينيتين هي التي تقوم بقلب الصورة من خلال الانعكاس الداخلي الكلي.
ويعادل هذا الانقلاب من التغيرات التي تسببها الشيئية بحيث يتحول الأعلى إلى أسفل واليمين إلى اليسار. ونتيجة لذلك فغن المشاهد يرى صورة مكبرة تحتفظ بنفس اتجاه الجسم الأصلي.
الاكثر قراءة في مواضيع عامة في علم البصريات
اخر الاخبار
اخبار العتبة العباسية المقدسة
الآخبار الصحية

قسم الشؤون الفكرية يصدر كتاباً يوثق تاريخ السدانة في العتبة العباسية المقدسة
"المهمة".. إصدار قصصي يوثّق القصص الفائزة في مسابقة فتوى الدفاع المقدسة للقصة القصيرة
(نوافذ).. إصدار أدبي يوثق القصص الفائزة في مسابقة الإمام العسكري (عليه السلام)