
تاريخ الفيزياء

علماء الفيزياء


الفيزياء الكلاسيكية

الميكانيك

الديناميكا الحرارية


الكهربائية والمغناطيسية

الكهربائية

المغناطيسية

الكهرومغناطيسية


علم البصريات

تاريخ علم البصريات

الضوء

مواضيع عامة في علم البصريات

الصوت


الفيزياء الحديثة


النظرية النسبية

النظرية النسبية الخاصة

النظرية النسبية العامة

مواضيع عامة في النظرية النسبية

ميكانيكا الكم

الفيزياء الذرية

الفيزياء الجزيئية


الفيزياء النووية

مواضيع عامة في الفيزياء النووية

النشاط الاشعاعي


فيزياء الحالة الصلبة

الموصلات

أشباه الموصلات

العوازل

مواضيع عامة في الفيزياء الصلبة

فيزياء الجوامد


الليزر

أنواع الليزر

بعض تطبيقات الليزر

مواضيع عامة في الليزر


علم الفلك

تاريخ وعلماء علم الفلك

الثقوب السوداء


المجموعة الشمسية

الشمس

كوكب عطارد

كوكب الزهرة

كوكب الأرض

كوكب المريخ

كوكب المشتري

كوكب زحل

كوكب أورانوس

كوكب نبتون

كوكب بلوتو

القمر

كواكب ومواضيع اخرى

مواضيع عامة في علم الفلك

النجوم

البلازما

الألكترونيات

خواص المادة


الطاقة البديلة

الطاقة الشمسية

مواضيع عامة في الطاقة البديلة

المد والجزر

فيزياء الجسيمات


الفيزياء والعلوم الأخرى

الفيزياء الكيميائية

الفيزياء الرياضية

الفيزياء الحيوية

الفيزياء والفلسفة

الفيزياء العامة


مواضيع عامة في الفيزياء

تجارب فيزيائية

مصطلحات وتعاريف فيزيائية

وحدات القياس الفيزيائية

طرائف الفيزياء

مواضيع اخرى
شحن وتفريغ مكثف
المؤلف:
فريدريك بوش ، دافيد جيرد
المصدر:
اساسيات الفيزياء
الجزء والصفحة:
8-1-2016
92209
شحن وتفريغ مكثف
إن فهم سلوك دوائر التيار المتردد يستدعي أن نعرف كيف يستجيب التيار المار خلال عناصر الدائرة للتغيرات المستمرة في مصدر ق. د. ك ونعرف أنه ليس هناك تأخر زمني بين تطبيق جهد V عبر مقاوم نقي وتكون تيار I = V/R خلال المقاوم. وبعبارة اخرى فإن، التيار والجهد في مقاوم ما يخضعان لقانون أوم لحظياً.
(1) 
الطريقة التي ينمو التيار بها مع الزمن عندما يغلق المفتاح الذي يوصل مصدر الجهد بملف محاثة. وقد وجدنا أن هناك تأخيراً في الزمن يمر قبل أن يصل التيار إلى القيمة النهائية التي يحددها قانون أوم. ولعلنا لذلك نتوقع أنه إذا كان الجهد المطبق على الدائرة في تغير دائم، فإن التيار هو الآخر سيظل "يطارد" الجهد، وعليه فإن قانون أوم لن يكون متبعاً في كل لحظة.

شكل (1) : يعتبر الثابت الزمني Tc مقياساً مناسباً للزمن الذي يستغرقه مكثف لكي يشحن أو يفرغ.
والمكثف هو عنصر الدائرة الوحيدة الذي لا زلنا في حاجة لفحص سلوكه المعتمد على الزمن. فالمكثف كما نعلم لا يسمح بمرور التيار المستمر. إلا أن شحن وتفريغ مكثف ما يستلزم حركة شحنات من وإلى لوحي المكثف. ونقل هذه الشحنات عبر الدائرة المحتوية على مكثف، يمثل تياراً انتقالياً. وسنفحص هذا السلوك بالرجوع إلى الدائرة البسيطة المبينة في الشكل ( 1أ). افترض أن المفتاح مفتوح في البداية وأنه لا توجد شحنات على المكثف الذي يرمز لسعته بالرمز C. ونأمل في معرفة ما يحدث عند إغلاق المفتاح فجأة.
عند إغلاق المفتاح فإن البطارية ستحاول إرسال شحنات في اتجاه مع حركة عقارب الساعة حول الدائرة. وبما أنه لم تكن هناك أية شحنات على المكثف في البداية، فإن التيار i سيتحدد بالمقاوم R فحسب ومن ثم، فإنه عقب إغلاق المفتاح مباشرة (عند اللحظة t = 0) سيكون التيار/R i0 = V0 كما في الشكل (ب). على أنه بمرور الوقت، يأخذ التيار في النقصان كلما تراكمت الشحنة على لوحي المكثف وذلك لأن هذه الشحنة تخلق فرق جهد عبر C، معاكساً لجهد البطارية. ولابد أن ينخفض التيار إلى الصفر عندما تصبح شحنة المكثف في النهاية q1 = CV0.
ويوضح الشكل ( 1ب) الأسلوب الدقيق الذي يتصرف من خلاله التيار المار في الدائرة. ويسمى المنحني البياني الذي يتعبه التيار منحني اضمحلال أسى. والصيغة الرياضية لهذا السلوك هي:
(2) 
حيث/R i0 = V0 وحاصل ضرب RC له وحدات زمن يسمى الثابت الزمني السعويTc.(تأكد من أنك تستطيع إثبات أن.F = s Ω). عند اللحظة t = Tc فالتيار يصل إلى (1/c2) = 0.135 من قيمته i0 ، وهكذا.
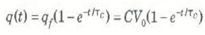
ويظل المكثف يتلقى شحنات طالما كان هناك تيار يمر في الدائرة. وعندما يتوقف التيار في النهاية، فإن معنى ذلك أن الجهد عبر المكثف قد أصبح مساوياً لجهد البطارية، أو VC = qf /C = V0 ، حيث qf هي الشحنة النهائية على المكثف. وتغير الشحنة على المكثف مع الزمن يمكن تمثيله بيانياً بالشكل ( 1جـ) أما الصيغة الرياضية لهذا الرسم البياني فهي:
(3) 
يلاحظ أن هذا السلوك مطابق لسلوك تنامي التيار في ملف محاثة. ويلعب الثابت الزمني السعوي RC للشحنة نفس الدور الذي يلعبه الثابت الزمني الحثي L/R بالنسبة لتيار ملف المحاثة. فكلما كان المقدار RC كبيراً كلما استغرق الأمر وقتاً أطول حتى " يمتلئ" المكثف بالشحنة ويمكن إدراك هذا المعنى بطريقة وصفية. إن القيمة الأكبر للسعة C تتطلب المزيد من الشحنة المتراكمة لبناء كل فولت واحد من الجهد عبر لوحي المكثف كما ان قيم R الكبيرة تقوم بدور أكبر في تحديد قيمة التيار ومن ثم تحدد المعدل الذي يمكن أن توضع به الشحنات على لوحي المكثف.
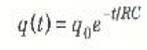
عندما يوصل مقاوم R عبر مكثف مشحون مباشرة، فإن ذلك المكثف سيفرع شحنته خلال المقاوم. غذا اعتبرنا فرق الجهد الابتدائي بين لوحي المكثف هو V0 فإن التيار الذي يسرى من المكثف عندما يأخذ في التفريغ سوف يتغير بالطريقة المبينة في الشكل ( 1ب). ويسلك تيار تفريغ المكثف نفس سلوك تيار الشحن. وتناقص الشحنة على المكثف أسياً أيضاً بعد أن يتم التوصيل. هل يمكنك إثبات أن الجهد عبر المكثف لابد أن يتناقص بنفس الطريقة التي تتناقص بها الشحنة؟ وفيما يلي المعادلات الخاصة بالمقدارين q(t) و V(t):
(4أ) 
(4 ب) 
ويعني هذا أن المكثف يفرغ نحو خمسة أثمان شحنته خلال ثابت زمني واحد.
الاكثر قراءة في الكهربائية
اخر الاخبار
اخبار العتبة العباسية المقدسة
الآخبار الصحية

قسم الشؤون الفكرية يصدر كتاباً يوثق تاريخ السدانة في العتبة العباسية المقدسة
"المهمة".. إصدار قصصي يوثّق القصص الفائزة في مسابقة فتوى الدفاع المقدسة للقصة القصيرة
(نوافذ).. إصدار أدبي يوثق القصص الفائزة في مسابقة الإمام العسكري (عليه السلام)