
تاريخ الفيزياء

علماء الفيزياء


الفيزياء الكلاسيكية

الميكانيك

الديناميكا الحرارية


الكهربائية والمغناطيسية

الكهربائية

المغناطيسية

الكهرومغناطيسية


علم البصريات

تاريخ علم البصريات

الضوء

مواضيع عامة في علم البصريات

الصوت


الفيزياء الحديثة


النظرية النسبية

النظرية النسبية الخاصة

النظرية النسبية العامة

مواضيع عامة في النظرية النسبية

ميكانيكا الكم

الفيزياء الذرية

الفيزياء الجزيئية


الفيزياء النووية

مواضيع عامة في الفيزياء النووية

النشاط الاشعاعي


فيزياء الحالة الصلبة

الموصلات

أشباه الموصلات

العوازل

مواضيع عامة في الفيزياء الصلبة

فيزياء الجوامد


الليزر

أنواع الليزر

بعض تطبيقات الليزر

مواضيع عامة في الليزر


علم الفلك

تاريخ وعلماء علم الفلك

الثقوب السوداء


المجموعة الشمسية

الشمس

كوكب عطارد

كوكب الزهرة

كوكب الأرض

كوكب المريخ

كوكب المشتري

كوكب زحل

كوكب أورانوس

كوكب نبتون

كوكب بلوتو

القمر

كواكب ومواضيع اخرى

مواضيع عامة في علم الفلك

النجوم

البلازما

الألكترونيات

خواص المادة


الطاقة البديلة

الطاقة الشمسية

مواضيع عامة في الطاقة البديلة

المد والجزر

فيزياء الجسيمات


الفيزياء والعلوم الأخرى

الفيزياء الكيميائية

الفيزياء الرياضية

الفيزياء الحيوية

الفيزياء والفلسفة

الفيزياء العامة


مواضيع عامة في الفيزياء

تجارب فيزيائية

مصطلحات وتعاريف فيزيائية

وحدات القياس الفيزيائية

طرائف الفيزياء

مواضيع اخرى
دوائر LRC مجتمعة ؛ علاقة الطور بين التيار والجهد
المؤلف:
فريدريك بوش ، دافيد جيرد
المصدر:
اساسيات الفيزياء
الجزء والصفحة:
8-1-2016
15268
دوائر LRC مجتمعة ؛ علاقة الطور بين التيار والجهد
ان دالة تتصل فيها العناصر الثلاثة معاً على التوالي، وهي الدائرة التي تعرف بدائرة LRC على التوالي ويبين إحداهما الشكل (1) ونود الآن تحديد العلاقة ــ كما سبق ــ بين قيم rms للجهد. كما نود أن نحدد علاقة الطور بين القيم اللحظية v و i وفقد القدرة في الدائرة.

شكل 1)): دائرة LRC على التوالي.
وفي البداية ، نؤكد أن كل عنصر في الدائرة لابد أن يمر به نفس التيار اللحظي. وسنعتبر هذا التيار على صورة، i(t) = i0 sin 2πf t والشكل ( 2أ) يمثل هذا التيار بيانياً. ونستطيع على الفور أن نرسم بيانياً الجهد عبر كل من عناصر الدائرة بناء على مناقشتنا السابقة. والجهد عبر R وهو vR يتفق في الطور مع i (الشكل ( 2ب) ؛ أما الجهد عبر C وهو vC فيتأخر عن التيار بربع دورة (( 2جـ)) ، أما الجهد عبر L ، vL فيقود التيار ، أي يسبقه بربع دورة ( الشكل ( 2د)).
يلاحظ من هذه المرسومات البيانية أن VL و VC لهما دائماً إشارة معاكسة ، ولهذا فهما يطرحان من بعضهما. افترض أن فولتميتر تيار متردد يسجل VL عبر ملف المحاثة Vc عبر المكثف. فإذا كان VL = VC فإن سعتي vC وvL ستكونان متساويتين تماماً، ويلغى vC تماماً vL وفي هذه الحالة فإن الفولتميتر المتصل بين النقطتين b و d في الشكل (1) سوف يسجل صفراً وليس VC + VL! وهكذا نرى أن قراءات فولتميتر التيار المتردد لا تجمع لكل تعطى فروق الجهد الصحيحة. وعلى الرغم من ان الجهود اللحظية تجمع مباشرة، إلا أن قيم rms للجهود والتي تسجلها أجهزة قياس التيار المتردد تكون دائماً موجبة ولا تظهر آثار الإلغاء التي قد تكون موجودة.

شكل (2) : vR فقط هو المتفق في الطور مع i. اما VL وVC فتختلف في الطور بمقدار (1/4) دورة (90) مع i.
ويمكن جمع المقادير المتذبذبة التي تكون مختلفة في الطور مع بعضها البعض بواسطة رسم هندسي بياني بسيط. ومفتاح فهم هذا الرسم هو في معرفة أن 1/4 دورة تكافئ اختلافاً مقداره 90o في طور كمية تتغير جيبياً مع الزمن . وسنمثل سعة الجهد عبر R وهي v0R بمتجه يتجه نحو ال اليمين في الشكل (3 أ) . ونعلم أن هذا الجهد متفق في الطور مع التيار المار في الدائرة ولذلك فإن هذا الاتجاه هو الذي يمثل التيار أيضاً. ولكي نمثل سعة الجهد v0L عبر L فلابد من رسم متجه يتجه بزاوية 90 بعيداً عن v0R كما الشكل (3 أ). وهذه الزاوية هي التي تناظر اختلافاً في الطور مقداره ربع دورة بين v0R وi0 . اما سعة الجهد v0C عبر المكثف فلابد من رسمها في اتجاه ضد اتجاه .v0L وتتحد مقادير هذه المتجهات من قانون أوم والقوانين المكافئة له.


شكل (3) : تجمع قيم rms للجهود في دائرة RLC جمعاً متجهياً ( جمع متجهات).
ويمكننا الحصول على السعة الخاصة بالجهد الكلي v0 المطبق على الدائرة باللجوء إلى جمع المتجهات المعتاد. فنبدأ أولاً بطرح v0L وv0C المتعارضين كما في الشكل (3 ب). ثم نضيف هذا المتجه الناتج إلى v0R باستخدام نظرية فيثاغورس.
وبأخذ الجذر التربيعي لهذا المقدار فإننا نحصل على القانون المكافئ لقانون أوم بالنسبة لدائرة LRC:
(1) 
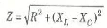
حيث يطلع على Z اسم معاوقة الدائرة وتعطى بالمعادلة
(2) 
ووحدات Z هي الأوم كما يمكنك استنتاج ذلك بسهولة. ويوضح الشكل (4) العلاقة التربيعية بين R ، (XL - XC) و Z بما يتفق مع المعادلة (2) .
ومن الطبيعي ان تنطبق المعادلة ((1 أيضاً على قيم rms لكل من I و V لأنهما ببساطة حاصل ضرب المعامل الثابت 0.707 في السعات المناظرة. ويلاحظ أن الأمر سيان، سواء طرحنا XL من XC او العكس؛ لأننا في كلتا الحالتين سوف نربع الفرق عند حساب Z.
والزاوية ϕ في الشكل (4) هي الفرق في الطور بين i و v في الدائرة. ولكي ندرك هذا، فإن عليك ملاحظة أنها الزاوية المحصورة بين الجهد الكلي والجهد عبر R الذي يتفق في الطور مع i. ونستطيع بسهولة أن نحصل على ϕ من :
(3)

شكل ((4: تمثل المعاوقة بوتر المثلث قائم الزاوية الذي ضلعاه هما R و|XL – XC|. والزاوية ϕ هي زاوية الطور بين i0 (في اتجاه محور R) و v0 ( في اتجاه المحور Z).
إذا كان XL > XC فإن الجهد يتقدم على التيار (يقوده) بزاوية طول مقدارها ϕ .أما إذا كان XL < XC فإن الجهد يتخلف ( يتأخر) عن التيار بالزاوية ϕ.
وعلى الرغم من معرفتنا أن فقد القدرة في الدائرة يحدث كلية في R ويساوي I2R إلا أن هناك طريقة مفيدة لحساب الفقد في القدرة.
(4) 
حيث استخدمت المعادلة (3) و V و I هي قيم rms لها كالمعتاد. ويسمى المعامل cos ϕ بمعامل القدرة للدائرة.
ولدينا حالتان مثيرتان للاهتمام. إذا كانت الدائرة تحتوي على R و C فقط (أي أنها دائرة RC) ، فيمكننا عندئذ وضع L = 0 و XL = 0. ومن ثم تؤول معاوقة الدائرة إلى :

أما إذا لم تحتو الدائرة على مكثف، فما هي قيمة XC التي علينا استعمالها ؟ إذ ليس صحيحاً أن نقول أن C = 0 في هذه الحالة لأن هذا يعنى أن XC ستكون لانهائية. إن عدم وجود مكثف مكافئ للحالة C = ∞، حيث ان مثل هذا المكثف لن " يشبع" من الشحنات ولن يكون عائقاً أمام التيار بالتالي. وهكذا فإن XC = 0 سيكون هو الاختيار الصحيح في حالة دائرة RL. وسوف تكون المعاوقة هي

الاكثر قراءة في الكهربائية
اخر الاخبار
اخبار العتبة العباسية المقدسة
الآخبار الصحية

قسم الشؤون الفكرية يصدر كتاباً يوثق تاريخ السدانة في العتبة العباسية المقدسة
"المهمة".. إصدار قصصي يوثّق القصص الفائزة في مسابقة فتوى الدفاع المقدسة للقصة القصيرة
(نوافذ).. إصدار أدبي يوثق القصص الفائزة في مسابقة الإمام العسكري (عليه السلام)