
تاريخ الفيزياء

علماء الفيزياء


الفيزياء الكلاسيكية

الميكانيك

الديناميكا الحرارية


الكهربائية والمغناطيسية

الكهربائية

المغناطيسية

الكهرومغناطيسية


علم البصريات

تاريخ علم البصريات

الضوء

مواضيع عامة في علم البصريات

الصوت


الفيزياء الحديثة


النظرية النسبية

النظرية النسبية الخاصة

النظرية النسبية العامة

مواضيع عامة في النظرية النسبية

ميكانيكا الكم

الفيزياء الذرية

الفيزياء الجزيئية


الفيزياء النووية

مواضيع عامة في الفيزياء النووية

النشاط الاشعاعي


فيزياء الحالة الصلبة

الموصلات

أشباه الموصلات

العوازل

مواضيع عامة في الفيزياء الصلبة

فيزياء الجوامد


الليزر

أنواع الليزر

بعض تطبيقات الليزر

مواضيع عامة في الليزر


علم الفلك

تاريخ وعلماء علم الفلك

الثقوب السوداء


المجموعة الشمسية

الشمس

كوكب عطارد

كوكب الزهرة

كوكب الأرض

كوكب المريخ

كوكب المشتري

كوكب زحل

كوكب أورانوس

كوكب نبتون

كوكب بلوتو

القمر

كواكب ومواضيع اخرى

مواضيع عامة في علم الفلك

النجوم

البلازما

الألكترونيات

خواص المادة


الطاقة البديلة

الطاقة الشمسية

مواضيع عامة في الطاقة البديلة

المد والجزر

فيزياء الجسيمات


الفيزياء والعلوم الأخرى

الفيزياء الكيميائية

الفيزياء الرياضية

الفيزياء الحيوية

الفيزياء والفلسفة

الفيزياء العامة


مواضيع عامة في الفيزياء

تجارب فيزيائية

مصطلحات وتعاريف فيزيائية

وحدات القياس الفيزيائية

طرائف الفيزياء

مواضيع اخرى
الرنين الموجي : الموجات المستقرة على وتر
المؤلف:
فريدريك بوش ، دافيد جيرد
المصدر:
اساسيات الفيزياء
الجزء والصفحة:
ص 523
16-7-2019
5133
الرنين الموجي : الموجات المستقرة على وتر
عند تحريك بندول أو أرجوحة أطفال او كتلة مثبتة في طرف زنبرك باستخدام قوة دورية يتحرك النظام بأكبر سعة عندما يكون تردد القوة مساوياً للتردد الطبيعي لاهتزاز النظام. ويوجد موقف في حالة اهتزاز الاوتار ، كما هو موضح بالشكل 1)). فإذا قمنا بهز الوتر بتردد منخفض جداً فإن الوتر سيهتز اهتزازاً ضعيفاً جداً بحيث يبدو عديم الحركة ، كما بالشكل (1 أ). وبزيادة تردد الاهتزاز ببطئ سوف يبدأ الوتر في الاهتزاز بقوة عند تردد معين ، كما بالشكل 1) ب). وعند هذا التردد الرنيني الأساسي 1f يهتز الوتر اهتزازاً واسعاً ويظهر كشيء ضبابي غير واضح المعالم بين الحدين الموضحين ، وهذا مثال واضح لظاهرة كشيء ضبابي غير واضح المعالم بين الحدين الموضحين ، وهذا مثال واضح لظاهرة الموجبات المستقرة المذكورة آنفاً هذا وتبين التجربة أن الوتر يرن أيضاً عند ترددات أعلى أخرى ، كما هو مبين بالأجزاء (ب) ، (جـ) ، (د) من الشكل . وملخص ذلك أن حالة زنين الوتر تحدث عند التردد الأساسي f1 وعند ترددات أعلى قدرها 2f1 ، 3f1 ، 4f1 ......... وهكذا.
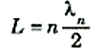
وهناك طريقة سهلة لتحديد الشروط التي يحدث عندها الزنين . فبالنظر إلى الشكل 1)) يمكننا ملاحظ أن الوتر يرن في قطع صحيحة ــ حيث تعني القطعة المسافة بين عقدتين متجاورتين أو بطنين متجاورين ــ وأن الطرفين الثابتين عقدتان دائماً . وعليه فإن الوتر يرن عندما يساوي طوله قطعة واحدة أو قطعتين .... وهكذا .وحيث أن طول القطعة λ ½ فإن ذلك يعنى حدوث الرنين عندما يكون طول الوتر /2λ أو 2(λ/2) أو 3(λ/2).....و هكذا ، وبذلك يمكننا القول عموماً ان الوتر المثبت بشدة من طرفيه يمكن ان يرن إذا كان طوله عدداً صحيحاً من انصاف الطول الموجي. فمثلاً طول الوتر في الشكل 1) ب ــ د) يساوي /2λ و 2(λ/2) و3(λ/2) و4(λ/2) إذن ، يمكن كتابة شرط الرنين في حالة وتر مثبت من طرفيه على الصورة:
(1) 
حيث n = 1, 2, 3,….. ، nλ هو الطول الموجي عندما يرن الوتر في عدد قدره n من القطع . وحيث ان الطول الموجي يرتبط بالتردد ، يمكننا ان نرى مباشرة أن رنين الوتر المثبت من طرفيه يحدث فقط عند ترددات خاصة جداً ، ويقال عندئذ أن الترددات الرنينية للوتر تكممية ، بمعنى ان هذه الترددات لها قيمة حادة محددة يفصل بينهما ثغرات من الترددات المحظورة. ومن الواضح أن قيم الترددات الرنينية تساوي مضاعفات صحيحة للتردد الرنين الأساسي 1f:

وترتبط الترددات الرنينية للأوتار المشدودة عادة بالأصوات الموسيقية الصادرة من الآلات الوترية. إن هذه العلاقة تعطينا بعض المفردات الإضافية المستخدمة لوصف الموجبات المستقرة. فالتردد الأساسي f1 يسمى أحياناً بالتوافقية الأولى ، بينما تعرف الترددات 1f ، 2f ،3f ،4f بالتوافقيات الثانية والثالثة والرابعة والتوافقية رقم n على الترتيب. وهكذا فإن مصطلح التوافقية يشير إلى اهتزاز موجي جيبي ذي تردد واحد ، بينما يشير مصطلح الحركة التوافقية البسيطة إلى حركة دورية ذات تردد واحد يمكن وصفها بدالة جيب أو جيب تمام.
الاكثر قراءة في الصوت
اخر الاخبار
اخبار العتبة العباسية المقدسة
الآخبار الصحية

قسم الشؤون الفكرية يصدر كتاباً يوثق تاريخ السدانة في العتبة العباسية المقدسة
"المهمة".. إصدار قصصي يوثّق القصص الفائزة في مسابقة فتوى الدفاع المقدسة للقصة القصيرة
(نوافذ).. إصدار أدبي يوثق القصص الفائزة في مسابقة الإمام العسكري (عليه السلام)