
تاريخ الفيزياء

علماء الفيزياء


الفيزياء الكلاسيكية

الميكانيك

الديناميكا الحرارية


الكهربائية والمغناطيسية

الكهربائية

المغناطيسية

الكهرومغناطيسية


علم البصريات

تاريخ علم البصريات

الضوء

مواضيع عامة في علم البصريات

الصوت


الفيزياء الحديثة


النظرية النسبية

النظرية النسبية الخاصة

النظرية النسبية العامة

مواضيع عامة في النظرية النسبية

ميكانيكا الكم

الفيزياء الذرية

الفيزياء الجزيئية


الفيزياء النووية

مواضيع عامة في الفيزياء النووية

النشاط الاشعاعي


فيزياء الحالة الصلبة

الموصلات

أشباه الموصلات

العوازل

مواضيع عامة في الفيزياء الصلبة

فيزياء الجوامد


الليزر

أنواع الليزر

بعض تطبيقات الليزر

مواضيع عامة في الليزر


علم الفلك

تاريخ وعلماء علم الفلك

الثقوب السوداء


المجموعة الشمسية

الشمس

كوكب عطارد

كوكب الزهرة

كوكب الأرض

كوكب المريخ

كوكب المشتري

كوكب زحل

كوكب أورانوس

كوكب نبتون

كوكب بلوتو

القمر

كواكب ومواضيع اخرى

مواضيع عامة في علم الفلك

النجوم

البلازما

الألكترونيات

خواص المادة


الطاقة البديلة

الطاقة الشمسية

مواضيع عامة في الطاقة البديلة

المد والجزر

فيزياء الجسيمات


الفيزياء والعلوم الأخرى

الفيزياء الكيميائية

الفيزياء الرياضية

الفيزياء الحيوية

الفيزياء والفلسفة

الفيزياء العامة


مواضيع عامة في الفيزياء

تجارب فيزيائية

مصطلحات وتعاريف فيزيائية

وحدات القياس الفيزيائية

طرائف الفيزياء

مواضيع اخرى
Light Cone Quantum Mechanics
المؤلف:
Leonard Susskind And James Lindesay
المصدر:
AN INTRODUCTION TO BLACK HOLES, INFORMATION, AND THE STRING THEORY REVOLUTION
الجزء والصفحة:
21-12-2015
2382
Light Cone Quantum Mechanics
In order to write the action for a relativistic point particle we introduce a parameter σ along the world line of the particle. Since the action only depends on the world line and not the way we parameterize it, the action should be invariant under a reparameterization. Toward this end we also introduce an “einbein” e(σ) that transforms under σ-reparameterizations.
e1(σ1) dσ1 = e(σ) dσ (1.1)
The action is given by
(1.2)
where m is the mass of the particle. The action in equation 1.2 is invariant under σ-reparameterizations.
Let us now write equation 1.2 in terms of light cone coordinates and, at the same time use our gauge freedom to fix σ = X+ (which is then treated as a time variable).Then L takes the form
(1.3)
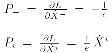
The conserved canonical momenta are given by
(1.4)
where dot refers to σ derivative. Note that the conservation of P- insures that e(σ) has a fixed constant value.
The Hamiltonian is easily obtained by the standard procedure:
(1.5)
This form of H manifests a well-known fact about light cone physics. If we focus on the transverse degrees of freedom, the Hamiltonian has all the properties of a non-relativistic system with Galilean symmetry. The second term in H is just a constant, and can be interpreted as an internal energy that has no effect on the transverse motion. The first term has the usual non-relativistic form with e-1 playing the role of an effective transverse mass. This Hamiltonian and its associated quantum mechanics exactly describes the point particles of conventional free quantum field theory formulated in the light cone gauge.
Now let us consider the transverse location of the particle as it falls toward the horizon. In particular, suppose the particle is probed by an experiment which takes place over a short time interval δ just before horizon crossing. In other words, the particle is probed over the time interval
−δ < X+ < 0 (1.6)
by a quantum of (Minkowski) energy ∼ 1/δ .This experiment is similar to the one, except that the probe carries out information about the transverse location of the particle instead of its baryon number.
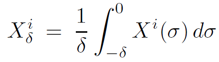
Since the interaction is spread over the time interval in equation 1.6, the instantaneous transverse position should be replaced by the time averaged coordinate Xiδ
(1.7)
To evaluate equation 1.7, we use the non-relativistic equations of motion
(1.8)
to give
(1.9)
Finally, let us suppose that the particle wave function is initially a smooth wave packet well localized in transverse position with uncertainty ΔXi. Let us also assume the very high momentum components of the wave function are negligible. Under these conditions nothing singular happens to the probability distribution for Xiδ as δ → 0. No matter how small δ is, the effective probability distribution for Xδ is concentrated in a well localized region of fixed extent, δX. There is no tendency for information to transversely spread over a stretched horizon.
All of this is exactly what is expected for an ordinary particle in free quantum field theory. For the more interesting case of an interacting quantum field theory, we could study the transverse properties of an interacting or composite particle such as a hydrogen atom. For example, a time averaged relative coordinate or charge density can be defined, and it too shows no sign of spreading as the sampling interval δ tends to zero.
Why is this a problem? The reason is that it conflicts with the complementarity principle. Complementarity requires the probe to report that the particle fell into a very high temperature environment in which it repeatedly suffered high energy collisions. In this kind of environment the information stored in the infalling system would be thermalized and spread over the horizon.
الاكثر قراءة في الثقوب السوداء
اخر الاخبار
اخبار العتبة العباسية المقدسة
الآخبار الصحية

قسم الشؤون الفكرية يصدر كتاباً يوثق تاريخ السدانة في العتبة العباسية المقدسة
"المهمة".. إصدار قصصي يوثّق القصص الفائزة في مسابقة فتوى الدفاع المقدسة للقصة القصيرة
(نوافذ).. إصدار أدبي يوثق القصص الفائزة في مسابقة الإمام العسكري (عليه السلام)