
تاريخ الفيزياء

علماء الفيزياء


الفيزياء الكلاسيكية

الميكانيك

الديناميكا الحرارية


الكهربائية والمغناطيسية

الكهربائية

المغناطيسية

الكهرومغناطيسية


علم البصريات

تاريخ علم البصريات

الضوء

مواضيع عامة في علم البصريات

الصوت


الفيزياء الحديثة


النظرية النسبية

النظرية النسبية الخاصة

النظرية النسبية العامة

مواضيع عامة في النظرية النسبية

ميكانيكا الكم

الفيزياء الذرية

الفيزياء الجزيئية


الفيزياء النووية

مواضيع عامة في الفيزياء النووية

النشاط الاشعاعي


فيزياء الحالة الصلبة

الموصلات

أشباه الموصلات

العوازل

مواضيع عامة في الفيزياء الصلبة

فيزياء الجوامد


الليزر

أنواع الليزر

بعض تطبيقات الليزر

مواضيع عامة في الليزر


علم الفلك

تاريخ وعلماء علم الفلك

الثقوب السوداء


المجموعة الشمسية

الشمس

كوكب عطارد

كوكب الزهرة

كوكب الأرض

كوكب المريخ

كوكب المشتري

كوكب زحل

كوكب أورانوس

كوكب نبتون

كوكب بلوتو

القمر

كواكب ومواضيع اخرى

مواضيع عامة في علم الفلك

النجوم

البلازما

الألكترونيات

خواص المادة


الطاقة البديلة

الطاقة الشمسية

مواضيع عامة في الطاقة البديلة

المد والجزر

فيزياء الجسيمات


الفيزياء والعلوم الأخرى

الفيزياء الكيميائية

الفيزياء الرياضية

الفيزياء الحيوية

الفيزياء والفلسفة

الفيزياء العامة


مواضيع عامة في الفيزياء

تجارب فيزيائية

مصطلحات وتعاريف فيزيائية

وحدات القياس الفيزيائية

طرائف الفيزياء

مواضيع اخرى
Proper Temperature
المؤلف:
Leonard Susskind And James Lindesay
المصدر:
AN INTRODUCTION TO BLACK HOLES, INFORMATION, AND THE STRING THEORY REVOLUTION
الجزء والصفحة:
14-12-2015
2340
Proper Temperature
It is noteworthy that the temperature TR is dimensionless. Ordinarily, temperature has units of energy, or equivalently, inverse length. The origin of the dimensionless temperature lies in the dimensionless character of the Rindler time variable ω. Nevertheless we should be able to assign to each Fido a conventional temperature that would be recorded by a standard thermometer held at rest at the location of that Fido. We can consider a thermometer to be a localized object with a set of proper energy levels ϵi. The levels ϵi are the ordinary energy levels of the thermometer when it is at rest. The thermometer is assumed to be very weakly coupled to the quantum fields so that it eventually will come to thermal equilibrium with them. Let us suppose that the thermometer is at rest with respect to the Fido at position ρ so that it has proper acceleration 1/ρ. Evidently receives a contribution from the thermometer of the form
(1.1)
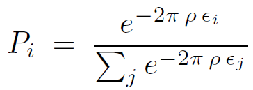
In other words the Rindler energy level of the ith state of the thermometer is ρ ϵi. When the quantum field at Rindler temperature 1/2π equilibrates with the thermometer, the probability to find the thermometer excited to the ith level is given by the Boltzmann factor
(1.2)
Accordingly, the thermometer registers a proper temperature
(1.3)
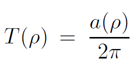
Thus each Fido experiences a thermal environment characterized by a temperature which increases as we move toward the horizon at ρ = 0. The proper temperature T (ρ) can also be expressed in terms of the proper acceleration of the Fido which is equal to 1/ρ. Thus, calling the acceleration a, we find
(1.4)
The reader may wonder about the origin of the thermal fluctuations felt by the Fidos, since the system under investigation is the Minkowski space vacuum. The thermal fluctuations are nothing but the conventional virtual vacuum fluctuations, but now being experienced by accelerated apparatuses. It is helpful in visualizing these effects to describe virtual vacuum fluctuations as short lived particle pairs. In Figure 1.1 ordinary vacuum fluctuations are shown superimposed on a Rindler coordinate mesh. One virtual loop (a) is contained entirely in Region I. That fluctuation can be thought of as a conventional fluctuation described by the quantum Hamiltonian HR. The fluctuation (b) contained in Region III has no significance to the Fidos in Region I. Finally there are loops like (c) which are partly in Region I but which also enter into Region III. These are the fluctuations which lead to nontrivial entanglements between the degrees of freedom χL and χR, and which cause the density matrix of Region I to be a mixed state.

Fig. 1.1. Vacuum pair fluctuations near the horizon.
A virtual fluctuation is usually considered to be short lived because it “violates energy conservation”. If the virtual fluctuation of energy needed to produce the pair is E, then the lifetime of the fluctuation ∼ E−1.
Now consider the portion of the loop (b) which is found in Region I. From the viewpoint of the Fidos, a particle is injected into the system at ω = −∞ and ρ = 0. The particle travels to some distance and then falls back towards ρ = 0 and ω = +∞.Th us, according to the Fidos, the fluctuation lasts for an infinite time and is therefore not virtual at all. Real particles are seen being injected into the Rindler space from the horizon, and eventually fall back to the horizon. To state it differently, the horizon behaves like a hot membrane radiating and reabsorbing thermal energy.
A natural question to ask is whether the thermal effects are “real”. For example, we may ask whether any such thermal effects are seen by freely falling observers carrying their thermometers with them as they pass through the horizon. Obviously the answer is no. A thermometer at rest in an inertial frame in the Minkowski vacuum will record zero temperature. It is tempting to declare that the thermal effects seen by the Fidos are fictitious and that the reality is best described in the frame of the Frefos. However, by yielding to this temptation we risk prejudicing ourselves too much toward the viewpoint of the Frefos. In particular, we are going to encounter questions of the utmost subtlety concerning the proper relation between events as seen by observers who fall through the horizon of a black hole and those seen by observers who view the formation and evaporation process from a distance. Th us for the moment, it is best to avoid the metaphysical question of whose description is closer to reality. Instead we simply observe that the phenomena are described differently in two different coordinate systems and that different physical effects are experienced by Frefos and Fidos. In particular a Fido equipped with a standard thermometer, particle detector, or other apparatus, will discover all the physical phenomena associated with a local proper temperature T (ρ) = 1/2π ρ. By contrast, a Frefo carrying similar apparatuses will see only the zero temperature vacuum state. Later we will discuss the very interesting question of how contradiction is avoided if a Frefo attempts to communicate to the stationary Fidos the information that no thermal effects are present.
We can now state the sense in which a self-contained description of Rindler space is possible in ordinary quantum field theory. Since Rindler space has a boundary at ρ = 0, a boundary condition of some sort must be provided. We see that the correct condition must be that at some small distance ρo, an effective “membrane” is kept at a fixed temperature T (ρo) = 1/2π ρo by an infinite heat reservoir. It will prove useful later to locate the membrane at a distance of order the Planck length
where quantum gravitational or string effects become important. Such a fictitious membrane at Planckian distance from the horizon is called the stretched horizon. We will see later that the stretched horizon has many other physical properties besides temperature, although it is completely unseen by observers who fall freely through it.
الاكثر قراءة في الثقوب السوداء
اخر الاخبار
اخبار العتبة العباسية المقدسة
الآخبار الصحية

قسم الشؤون الفكرية يصدر كتاباً يوثق تاريخ السدانة في العتبة العباسية المقدسة
"المهمة".. إصدار قصصي يوثّق القصص الفائزة في مسابقة فتوى الدفاع المقدسة للقصة القصيرة
(نوافذ).. إصدار أدبي يوثق القصص الفائزة في مسابقة الإمام العسكري (عليه السلام)