Bonding orbitals
المؤلف:
Peter Atkins، Julio de Paula
المصدر:
ATKINS PHYSICAL CHEMISTRY
الجزء والصفحة:
ص370-371
2025-11-26
178
Bonding orbitals
According to the Born interpretation, the probability density of the electron in H2+ is proportional to the square modulus of its wavefunction. The probability density corresponding to the (real) wavefunction ψ+ in eqn 11.7 is ψ2+ = N2(A2+B2+2AB)
This probability density is plotted in Fig. 11.15. An important feature of the probability density becomes apparent when we examine the internuclear region, where both atomic orbitals have similar amplitudes. Accord ing to eqn 11.10, the total probability density is proportional to the sum of
1 A2, the probability density if the electron were confined to the atomic orbital A.
2 B2, the probability density if the electron were confined to the atomic orbital B. 3 2AB, an extra contribution to the density.
This last contribution, the overlap density, is crucial, because it represents an enhancement of the probability of finding the electron in the internuclear region. The enhancement can be traced to the constructive interference of the two atomic orbitals: each has a positive amplitude in the internuclear region, so the total amplitude is greater there than if the electron were confined to a single atomic orbital. We shall frequently make use of the result that electrons accumulate in regions where atomic orbitals overlap and interfere constructively. The conventional explanation is based on the notion that accumulation of electron density between the nuclei puts the electron in a position where it interacts strongly with both nuclei. Hence, the energy of the molecule is lower than that of the separate atoms, where each electron can interact strongly with only one nucleus. This conventional explanation, however, has been called into question, because shifting an electron away from a nucleus into the internuclear region raises its potential energy. The modern (and still controversial) explanation does not emerge from the simple LCAO treatment given here. It seems that, at the same time as the electron shifts into the internuclear region, the atomic orbitals shrink. This orbital shrinkage improves the electron–nucleus attraction more than it is decreased by the migration to the internuclear region, so there is a net lowering of potential energy. The kinetic energy of the electron is also modified because the curvature of the wavefunction is changed, but the change in kinetic energy is dominated by the change in potential energy. Throughout the following discussion we ascribe the strength of chemical bonds to the accumulation of electron density in the internuclear region. We leave open the question whether in molecules more com plicated than H2+ the true source of energy lowering is that accumulation itself or some indirect but related effect. The σ orbital we have described is an example of a bonding orbital, an orbital which, if occupied, helps to bind two atoms together. Specifically, we label it 1σ as it is the σ orbital of lowest energy. An electron that occupies a σ orbital is called a σ electron, and if that is the only electron present in the molecule (as in the ground state of H2 +), then we report the configuration of the molecule as 1σ1.

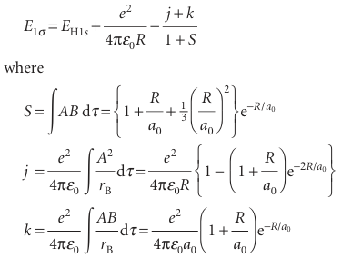
Fig. 11.15 The electron density calculated by forming the square of the wavefunction used to construct Fig. 11.13. Note the accumulation of electron density in the internuclear region. The energy E1σof the 1σorbital is (see Problem 11.23):

We can interpret the preceding integrals as follows: 1All three integrals are positive and decline towards zero at large internuclear separations (Sandkon account of the exponential term, jon account of the factor 1/R). 2The integral jis a measure of the interaction between a nucleus and electron density centred on the other nucleus. 3The integral kis a measure of the interaction between a nucleus and the excess probability in the internuclear region arising from overlap. Figure 11.16 is a plot of E1σagainstRrelative to the energy of the separated atoms. The energy of the 1σorbital decreases as the internuclear separation decreases from large values because electron density accumulates in the internuclear region as the constructive interference between the atomic orbitals increases (Fig. 11.17). However, at small separations there is too little space between the nuclei for significant accumulation of electron density there. In addition, the nucleus–nucleus repulsion (which is proportional to 1/R) becomes large. As a result, the energy of the molecule rises at short distances, and there is a minimum in the potential energy curve. Calculations on H2+ give Re=130 pm and De=1.77 eV (171 kJ mol−1); the experimental values are 106 pm and 2.6 eV, so this simple LCAO-MO description of the molecule, while inaccurate, is not absurdly wrong.

Fig. 11.16The calculated and experimental molecular potential energy curves for a hydrogen molecule-ion showing the variation of the energy of the molecule as the bond length is changed. The alternative g, u notation is introduced in Section 11.3c.

Fig. 11.17A representation of the constructive interference that occurs when two H1sorbitals overlap and form a bonding σ orbital.
الاكثر قراءة في مواضيع عامة في الكيمياء الفيزيائية
اخر الاخبار
اخبار العتبة العباسية المقدسة