

علم الكيمياء

تاريخ الكيمياء والعلماء المشاهير

التحاضير والتجارب الكيميائية

المخاطر والوقاية في الكيمياء

اخرى

مقالات متنوعة في علم الكيمياء

كيمياء عامة


الكيمياء التحليلية

مواضيع عامة في الكيمياء التحليلية

التحليل النوعي والكمي

التحليل الآلي (الطيفي)

طرق الفصل والتنقية


الكيمياء الحياتية

مواضيع عامة في الكيمياء الحياتية

الكاربوهيدرات

الاحماض الامينية والبروتينات

الانزيمات

الدهون

الاحماض النووية

الفيتامينات والمرافقات الانزيمية

الهرمونات


الكيمياء العضوية

مواضيع عامة في الكيمياء العضوية

الهايدروكاربونات

المركبات الوسطية وميكانيكيات التفاعلات العضوية

التشخيص العضوي

تجارب وتفاعلات في الكيمياء العضوية


الكيمياء الفيزيائية

مواضيع عامة في الكيمياء الفيزيائية

الكيمياء الحرارية

حركية التفاعلات الكيميائية

الكيمياء الكهربائية


الكيمياء اللاعضوية

مواضيع عامة في الكيمياء اللاعضوية

الجدول الدوري وخواص العناصر

نظريات التآصر الكيميائي

كيمياء العناصر الانتقالية ومركباتها المعقدة


مواضيع اخرى في الكيمياء

كيمياء النانو

الكيمياء السريرية

الكيمياء الطبية والدوائية

كيمياء الاغذية والنواتج الطبيعية

الكيمياء الجنائية


الكيمياء الصناعية

البترو كيمياويات

الكيمياء الخضراء

كيمياء البيئة

كيمياء البوليمرات

مواضيع عامة في الكيمياء الصناعية

الكيمياء التناسقية

الكيمياء الاشعاعية والنووية
Effect on the Lattice Parameter
المؤلف:
C. Br´ echignac P. Houdy M. Lahmani
المصدر:
Nanomaterials and Nanochemistry
الجزء والصفحة:
p4
2-12-2015
1809
Effect on the Lattice Parameter
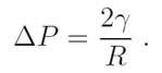
Let us now consider the effects of the increase in the surface-to-volume ratio as the object size decreases. To do this, we consider first the very simple case of a liquid sphere of diameter 2R. Due to the curvature of the surface, a pressure is generated toward the inside of the sphere. The excess pressure ΔP inside the sphere, in the purely hydrostatic case, is given by the Laplace equation
(1)
where dV is the volume change corresponding to a change dA in the area of the droplet. In the case of a sphere, (above) takes the form
(2)
For a spherical solid, the specific surface energy must be replaced by the surface stress tensor gij . To simplify the problem, consider the case of a solid with simple cubic structure. In this case, γ is isotropic and we have
(3)
Moreover, we may recall the definition of the compressibility, viz.,
(4)
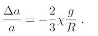
where v is the atomic volume of the solid, which can also be defined as a3, where a is the lattice parameter. Combining (1) and (4), We obtain the relative variation of the lattice parameter:


Fig. 1. Contraction of the lattice parameter of copper clusters as a function of the reciprocal of their diameter. Circles correspond to measurements of electron energy loss near an ionisation threshold (SEELFS). Taken from De Crescenzi et al. [1]. The straight line shows measurements of X-ray absorption (EXAFS). Taken from Apai et al. [2]
We thus find that there is a contraction of the crystal lattice due to the pressure exerted toward the interior of the particle. This contraction is proportional to the surface stress and inversely proportional to the particle size.
The lattice contraction in nanometric particles has been observed on many occasions. Figure 1 shows the change in lattice parameter for copper clusters, measured by the electron energy loss technique known as SEELFS andalso by X-ray absorption near an ionisation threshold (see below).
References
1. M. De Crescenzi, M. Diociaiuti, L. Lozzi, P. Picozzi, S. Santucci: Phys. Rev. B35, 5997 (1987)
2. G. Apai, J.F. Hamilton, J. St¨ohr, A. Thomson: Phys. Rev. Lett.43, 165 (1979)
الاكثر قراءة في كيمياء النانو
اخر الاخبار
اخبار العتبة العباسية المقدسة
الآخبار الصحية

قسم الشؤون الفكرية يصدر كتاباً يوثق تاريخ السدانة في العتبة العباسية المقدسة
"المهمة".. إصدار قصصي يوثّق القصص الفائزة في مسابقة فتوى الدفاع المقدسة للقصة القصيرة
(نوافذ).. إصدار أدبي يوثق القصص الفائزة في مسابقة الإمام العسكري (عليه السلام)