علم الكيمياء
تاريخ الكيمياء والعلماء المشاهير
التحاضير والتجارب الكيميائية
المخاطر والوقاية في الكيمياء
اخرى
مقالات متنوعة في علم الكيمياء
كيمياء عامة
الكيمياء التحليلية
مواضيع عامة في الكيمياء التحليلية
التحليل النوعي والكمي
التحليل الآلي (الطيفي)
طرق الفصل والتنقية
الكيمياء الحياتية
مواضيع عامة في الكيمياء الحياتية
الكاربوهيدرات
الاحماض الامينية والبروتينات
الانزيمات
الدهون
الاحماض النووية
الفيتامينات والمرافقات الانزيمية
الهرمونات
الكيمياء العضوية
مواضيع عامة في الكيمياء العضوية
الهايدروكاربونات
المركبات الوسطية وميكانيكيات التفاعلات العضوية
التشخيص العضوي
تجارب وتفاعلات في الكيمياء العضوية
الكيمياء الفيزيائية
مواضيع عامة في الكيمياء الفيزيائية
الكيمياء الحرارية
حركية التفاعلات الكيميائية
الكيمياء الكهربائية
الكيمياء اللاعضوية
مواضيع عامة في الكيمياء اللاعضوية
الجدول الدوري وخواص العناصر
نظريات التآصر الكيميائي
كيمياء العناصر الانتقالية ومركباتها المعقدة
مواضيع اخرى في الكيمياء
كيمياء النانو
الكيمياء السريرية
الكيمياء الطبية والدوائية
كيمياء الاغذية والنواتج الطبيعية
الكيمياء الجنائية
الكيمياء الصناعية
البترو كيمياويات
الكيمياء الخضراء
كيمياء البيئة
كيمياء البوليمرات
مواضيع عامة في الكيمياء الصناعية
الكيمياء الاشعاعية والنووية
تعيين الحرارة النوعية
المؤلف:
الإدارة العامة لتصميم المناهج
المصدر:
أساسيات الكيمياء الفيزيائية (عملي)
الجزء والصفحة:
ص17-18
2025-01-27
1004
نظرية التجربة : عندما يتلامس جسمان مختلفان في درجة الحرارة ويصلان إلى الاتزان الحراري فإن كمية الحرارة المكتسبة من البارد = كمية الحرارة المفقودة من الساخن
1- كمية الحرارة المكتسبة "Q": Q=CxWxΔT حيث C هي الحرارة النوعية للجسم، Wهي وزنه، ΔTالفرق في درجة الحرارة.
2-السعة الحرارية :هي كمية الحرارة اللازمة لرفع درجة حرارة الجسم درجة مئوية واحدة.
3-الحرارة النوعية: هي كمية الحرارة اللازمة لرفع اجرام من المادة درجة مئوية واحدة.
4- السعر: هي كمية الحرارة اللازمة لرفع اجرام من المادة درجة مئوية واحدة عند درجة حرارة 15 م ْ
تعيين الحرارة النوعية للمسعر :
خطوات العمل:
1- ضع 100مل من الماء المقطر في الكأس الداخلي (المسعر) وسجل درجة الحرارة ولتكن هي 1T ، حيث وزن الكأس و المحرار هي W.
2- ارفع غطاء الفلين من فوق المسعر وأضف بسرعة 100مل من الماء المقطر المغلي مع التقليب السريع بالمحرار حتى تثبت درجة الحرارة ولتكن هي T2.
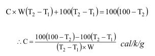
الحساب : كمية الحرارة التي فقدها الماء المغلي - كمية الحرارة التي اكتسبها الماء البارد والمسعر والمحرر
تعيين الحرارة النوعية لمادة الرصاص :
خطوات العمل:
1- زن قطعة من الرصاص (حوالي 200جرام) واربطها بخيط رفيع وليكن الوزن هو W
2- اغمر قطعة الرصاص في ماء حار (درجة حرارة حوالي 90مْ) وانتظر حتى تثبت درجة الحرارة بعد الغمر ولتكن T1.
3- جهز المسعر وبه 100مل من الماء المقطر وسجل درجة الحرارة ولتكن هي T2.
4- اغمس بسرعة قطعة الرصاص في ماء المسعر وحرك بالمحرار حتى تثبت درجة الحرارة ولتكن T3
الحساب: كمية الحرارة المفقودة من الرصاص = كمية الحرارة المكتسبة من المسعر والماء والمحرار
الاكثر قراءة في مواضيع عامة في الكيمياء الفيزيائية
اخر الاخبار
اخبار العتبة العباسية المقدسة

الآخبار الصحية
