
الادارة الهندسية

الانشاءات

الطرق والمواصلات

الموارد المائية

هندسة الجيوتكنك
اختبارات تحديد الشكل للركام
المؤلف:
د. محمد عمران مبارك – د. محمد حليفة علي
المصدر:
هندسة الرصف
الجزء والصفحة:
ص 64 – ص 66
2023-03-12
3056
تجرى هذه الاختبارات للتعرف على شكل حبيبات الركام و تحديد نسبة الأشكال غير المرغوبة في العينة مثل الركام المفلطح أو الممطول أو الزاوي. وذلك من خلال عدد من التجارب لتحديد مؤشر التفلطح Flakiness index و مؤشر الممطولية (Elongation Index) و الرقم الزاوي Angular Number و تبين الفقرات التالية كيفية تحديد هذه المؤشرات .
أ- مؤشر التفلطح:
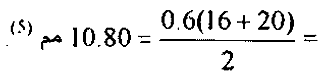
يعرف مؤشر التفلطح على انه نسبة وزن جزيئات الركام التي تقل فيها نسبة السمك إلى الطول عن 0.60 إلى الوزن الكلي للعينة و يتمثل هذا الاختبار في إمرار عينة الركام عبر مناخل خاصة ذات فتحات عرضها يساوى 0.60 من متوسط حجم الركام المراد اختباره. فعلى سبيل المثال إذا كان حجم حبيبات الركام يتراوح بين 16 و 20مم فأن عرض فتحة المنخل يساوي :

ويتم وزن الجزء المار من الركام و ليكن (W2) و بمعرفة الوزن الأصلي للعينة ( 1W ) يمكن تحديد مؤشر التفلطح من العلاقة :
مؤشر التفلطح : (W2/W1) * 100
ب- مؤشر الممطولية :
يعرف مؤشر الممطولية على انه النسبة المئوية لوزن جزيئات الركام الممطول إلى الوزن الكلي للعينة. ويجرى هذا الاختبار على الركام الذي يزيد حجم حبيباته عن 6.30 مم ، و يتلخص في امرار عينة الركام من منخل خاص ذي فتحات تعادل 1.80 حجم الركام المستعمل . و يتم تحديد مؤشر الممطولية بقسمة وزن الجزء المار من الركام (2W) على الوزن الكلى للعينة ، وذلك حسب العلاقة التالية:
مؤشر الممطولية = (W2/W1) * 100
ج- الرقم الزاوي :
الركام الزاوي تكون حبيباته ذات حواف مسننة وواضحة كما هو الحال في الركام المنتج من كسر الصخور وحيث إن الركام الزاوي يعمل على تقليل الفراغات بين حبيبات الركام في الخلطة مقارنة بالركام المدور الذي تصل فيه نسبة الفراغات إلى 33% ، يتم التعبير عن هذه الظاهرة بما يعرف بالرقم الزاوي والاختبار الذي يجرى لهذا الغرض يتمثل في تجهيز عينة الركام بتنظيفها وتجفيفها جيداً وتحديد التدرج الحبيبي لها. توضع بعدها العينة في اسطوانة معدنية حجمها 3 لترات على ثلاث طبقات و تدمك كل طبقة بدقها 100 مرة بقضيب دمك خاص يجرى بعدها تسوية السطح النهائي للعينة و يتم وزنها و ليكن (Wg). بعد ذلك تفرغ الاسطوانة من الركام وتملأ بالماء و يؤخذ وزن الماء وليكن ( Ww ) .
و من ذلك يمكن تحديد الرقم الزاوي من العلاقة :
الرقم الزاوي = 67- ( Wg/Ww ) *100
و يمثل الرقم 67 حجم المادة الصلبة لخليط من الركام المدور حيث تبلغ نسبة الفراغات به 33 % ويتراوح الرقم الزاوي للركام المستخدم في أعمال الرصف بين 0 و 11 % .
الاكثر قراءة في الطرق والمواصلات
اخر الاخبار
اخبار العتبة العباسية المقدسة
الآخبار الصحية

قسم الشؤون الفكرية يصدر كتاباً يوثق تاريخ السدانة في العتبة العباسية المقدسة
"المهمة".. إصدار قصصي يوثّق القصص الفائزة في مسابقة فتوى الدفاع المقدسة للقصة القصيرة
(نوافذ).. إصدار أدبي يوثق القصص الفائزة في مسابقة الإمام العسكري (عليه السلام)